من 445
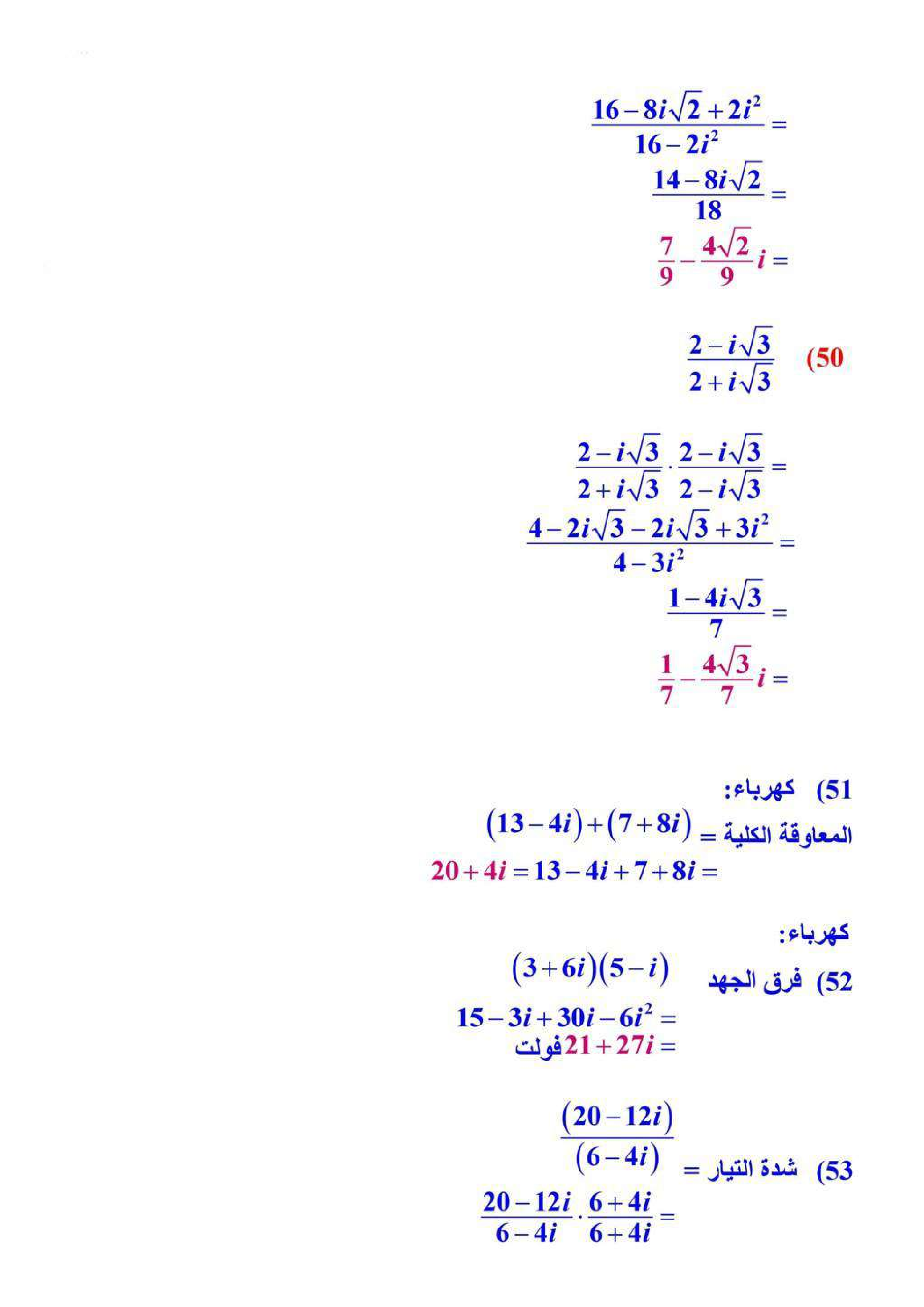
  • الفصل 1: الدوال والمتباينات
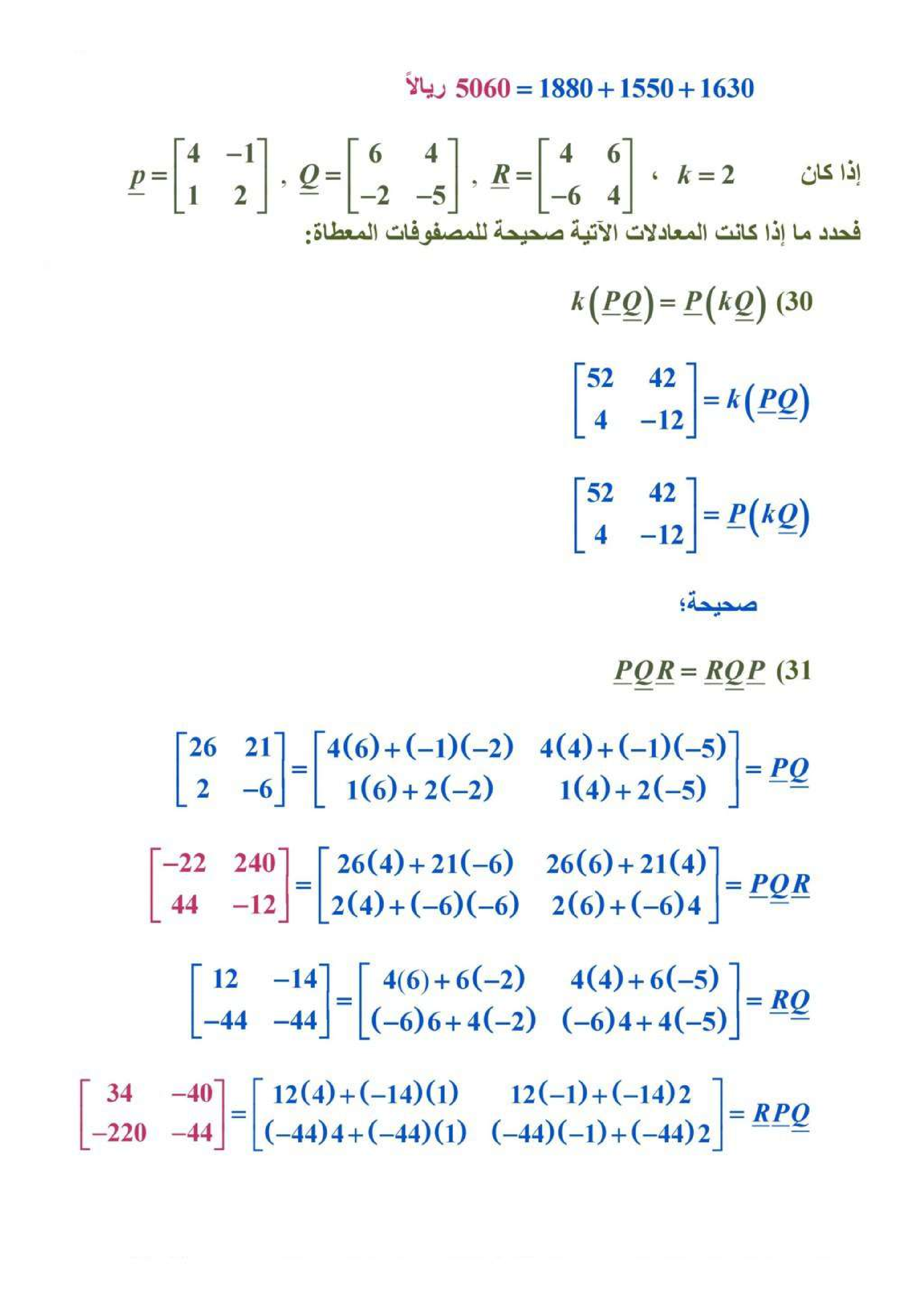
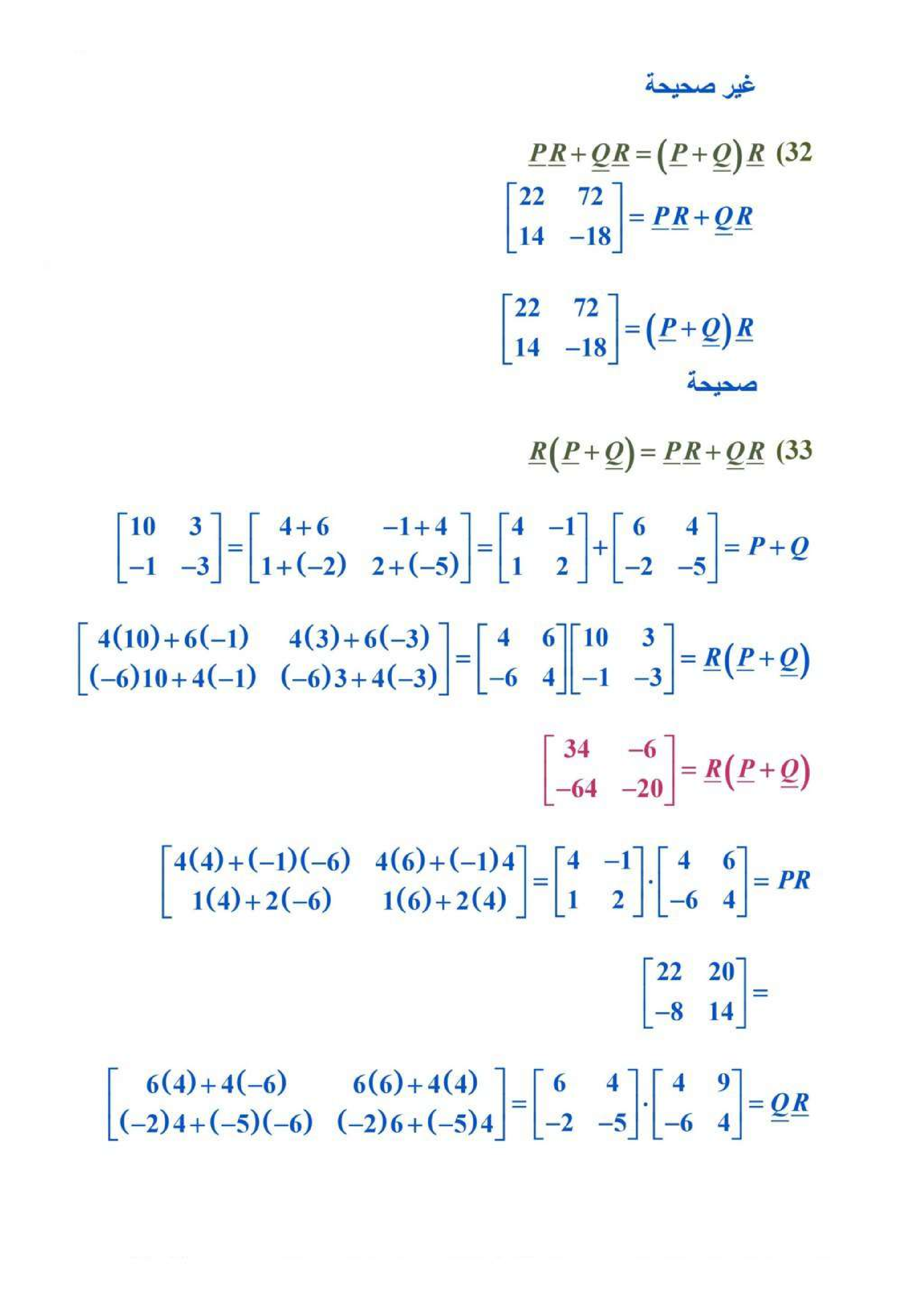
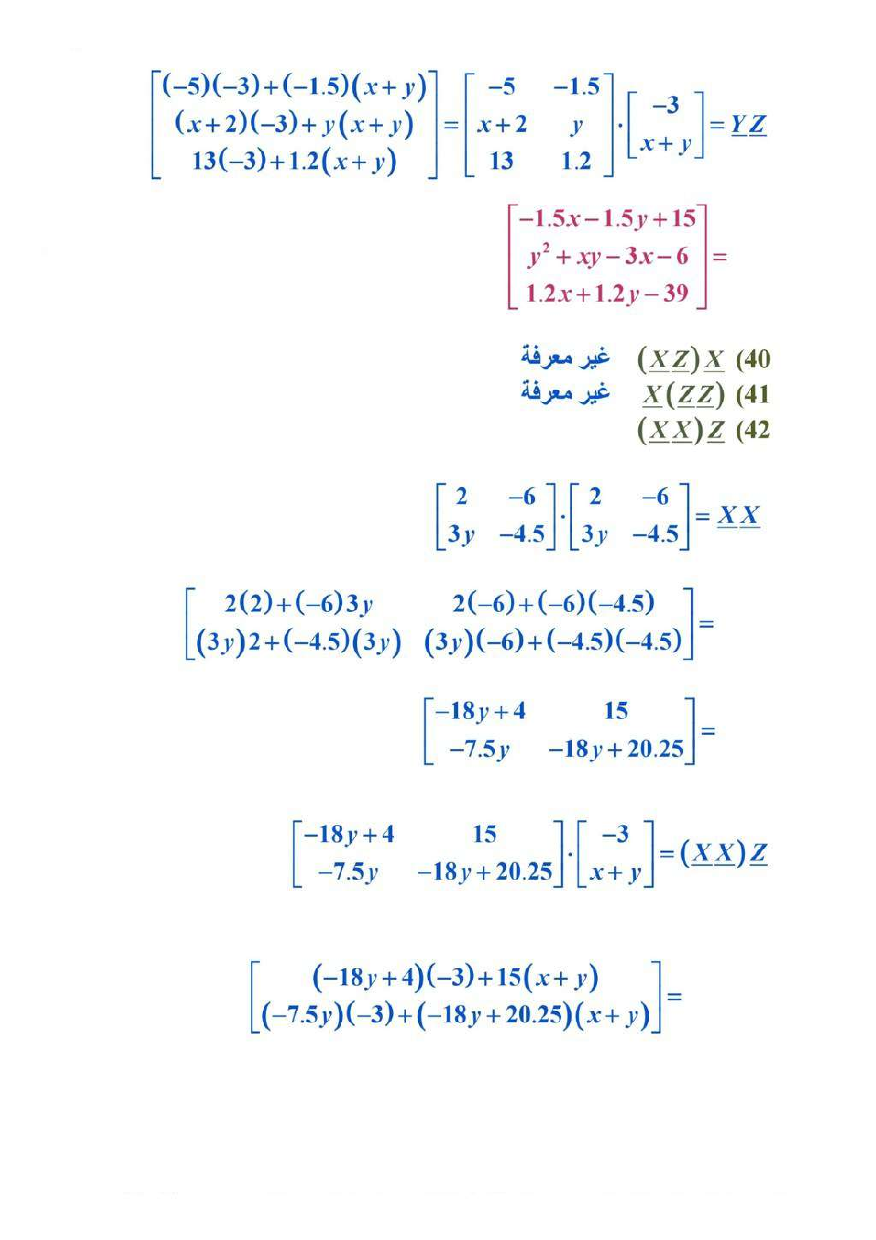
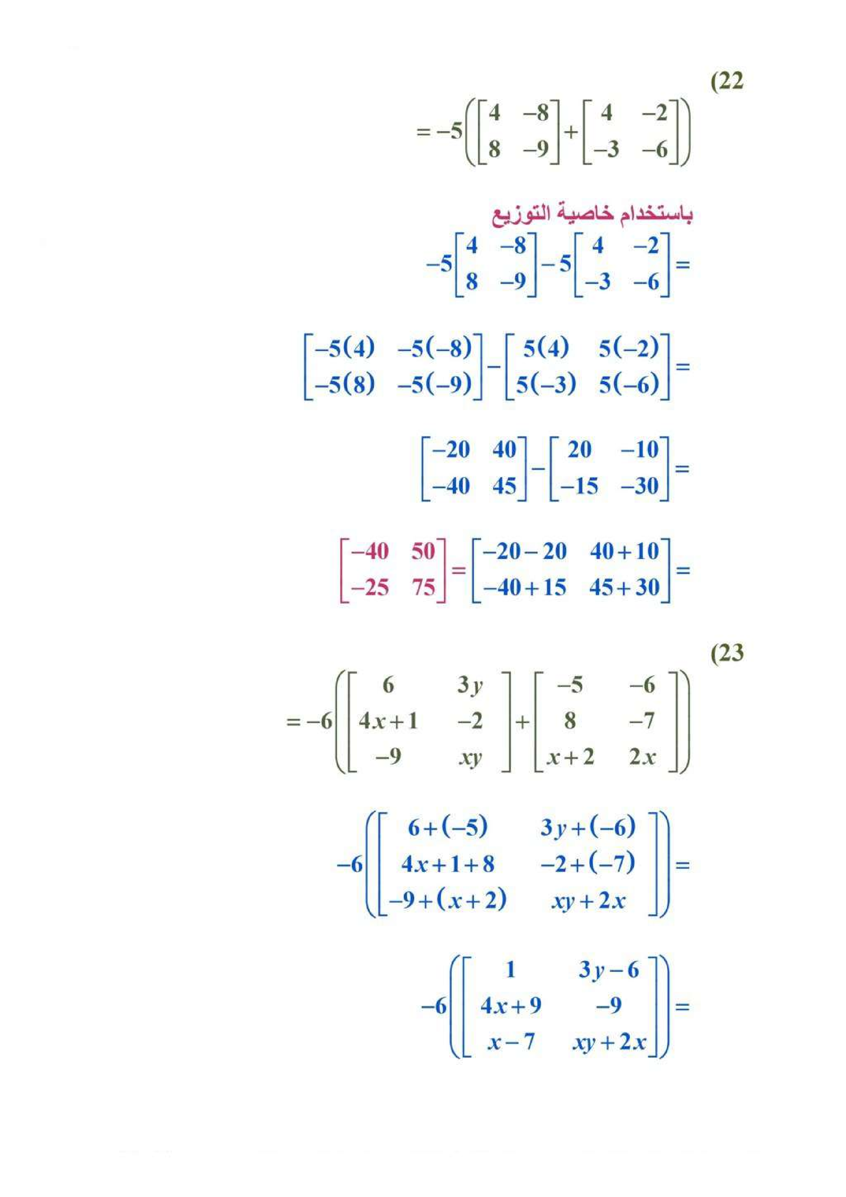
  • الفصل 2: المصفوفات
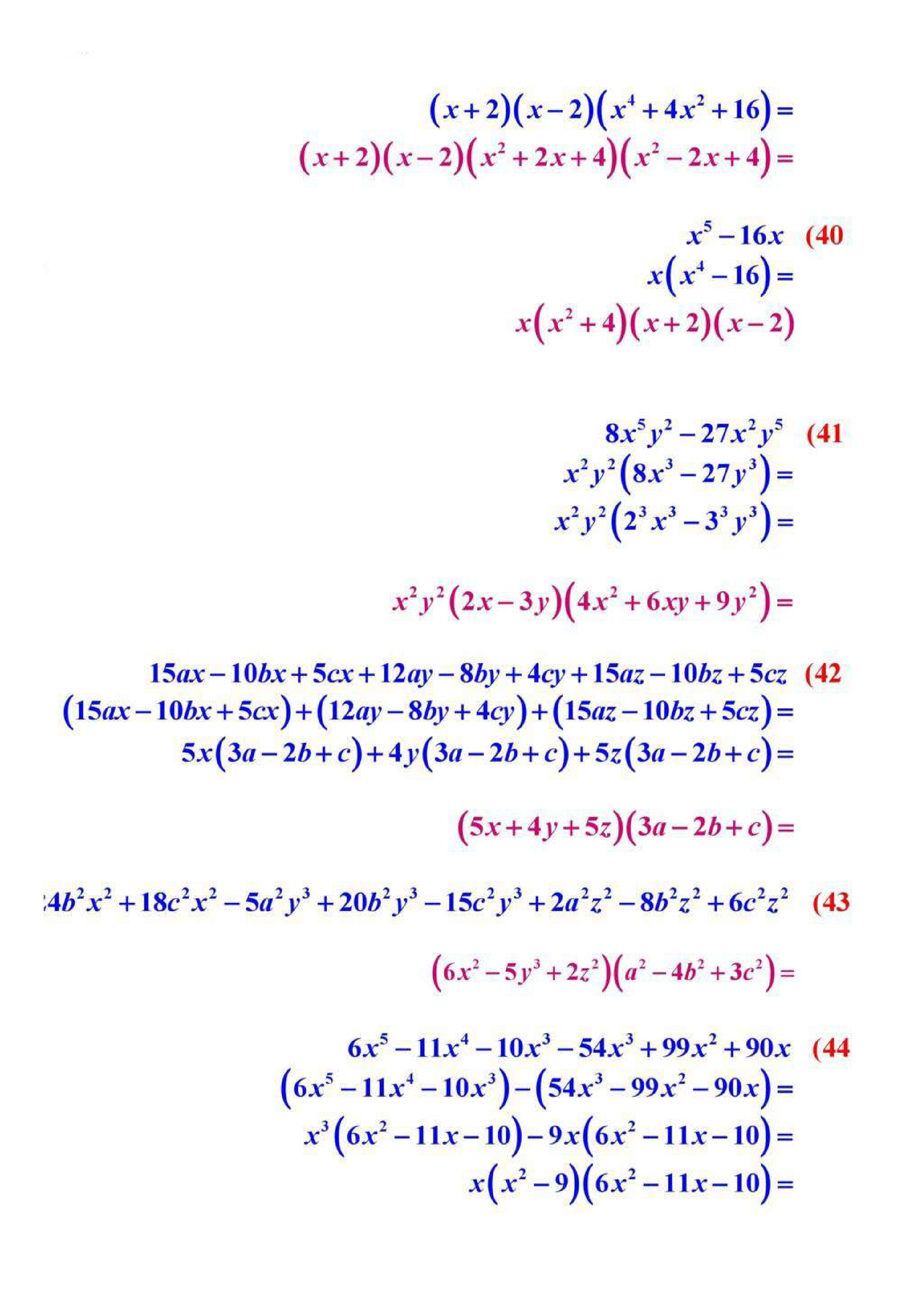
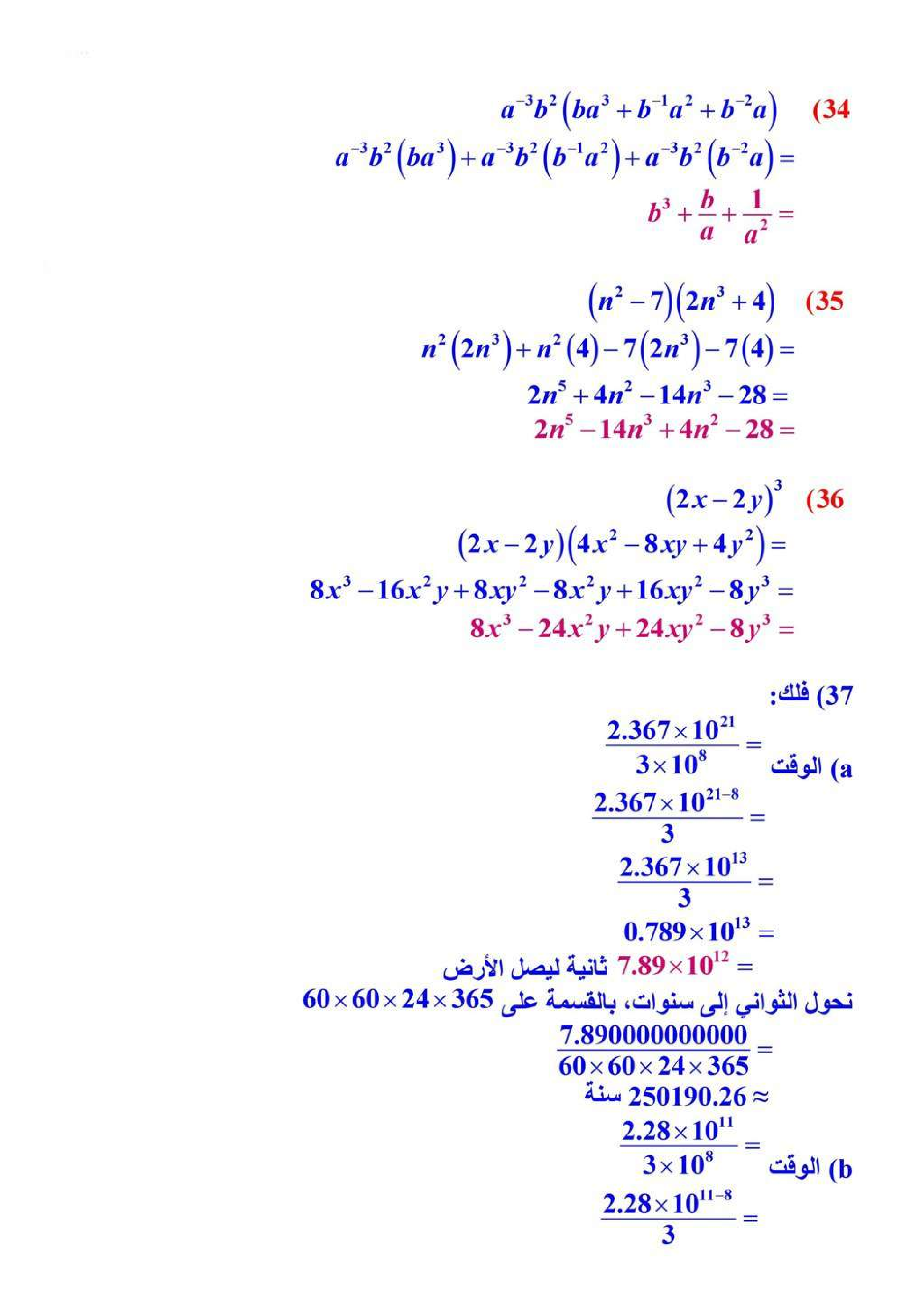
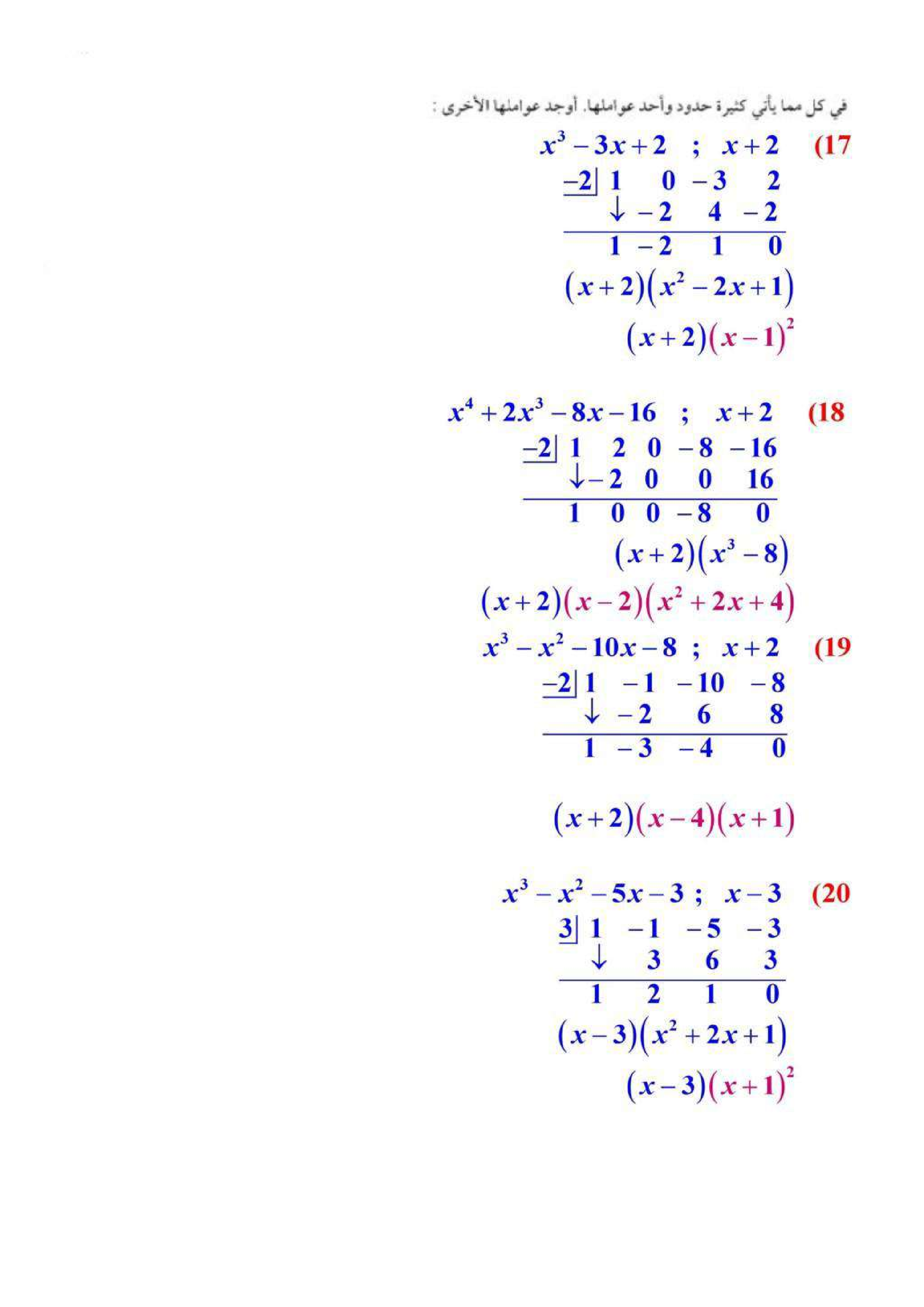
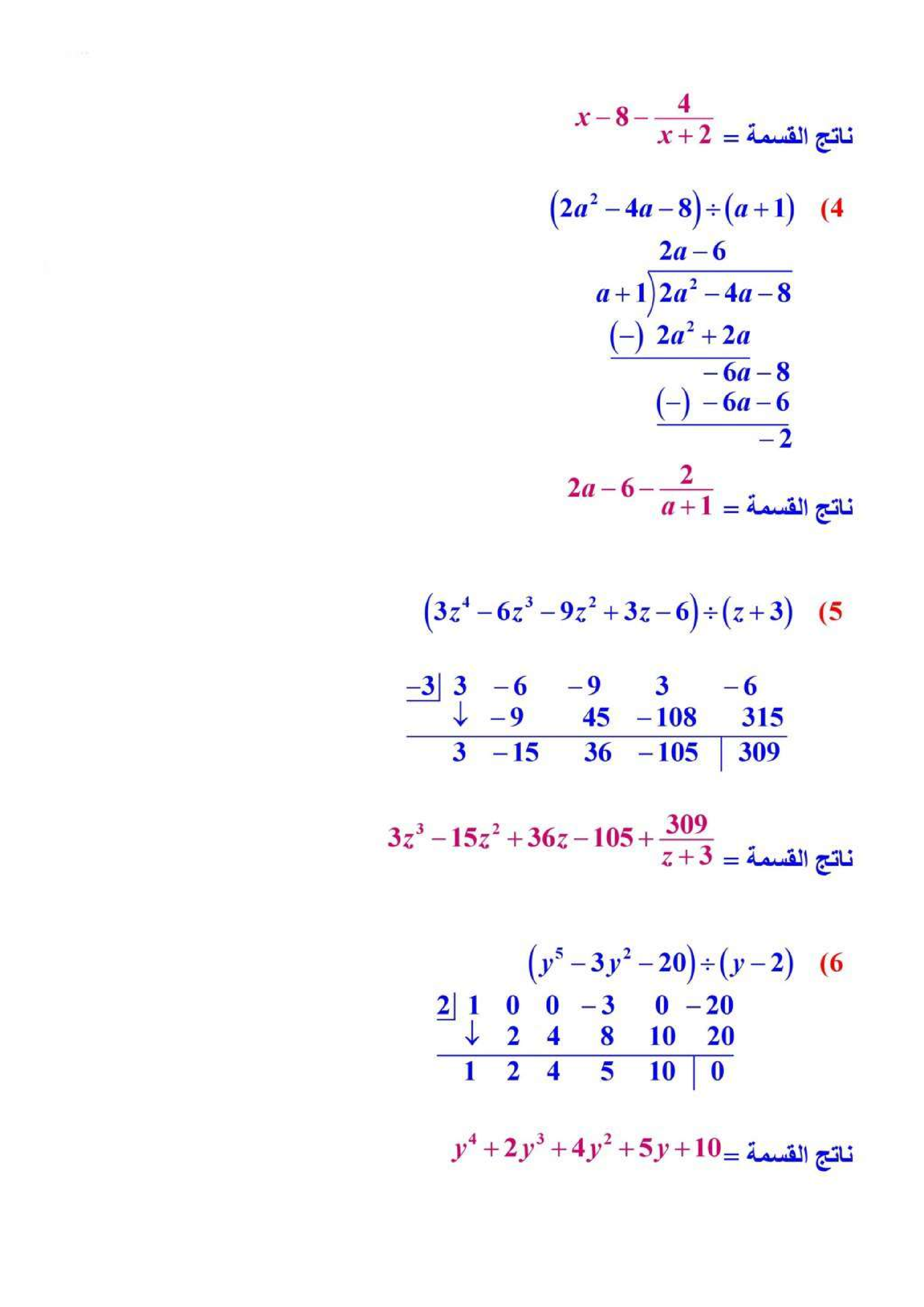
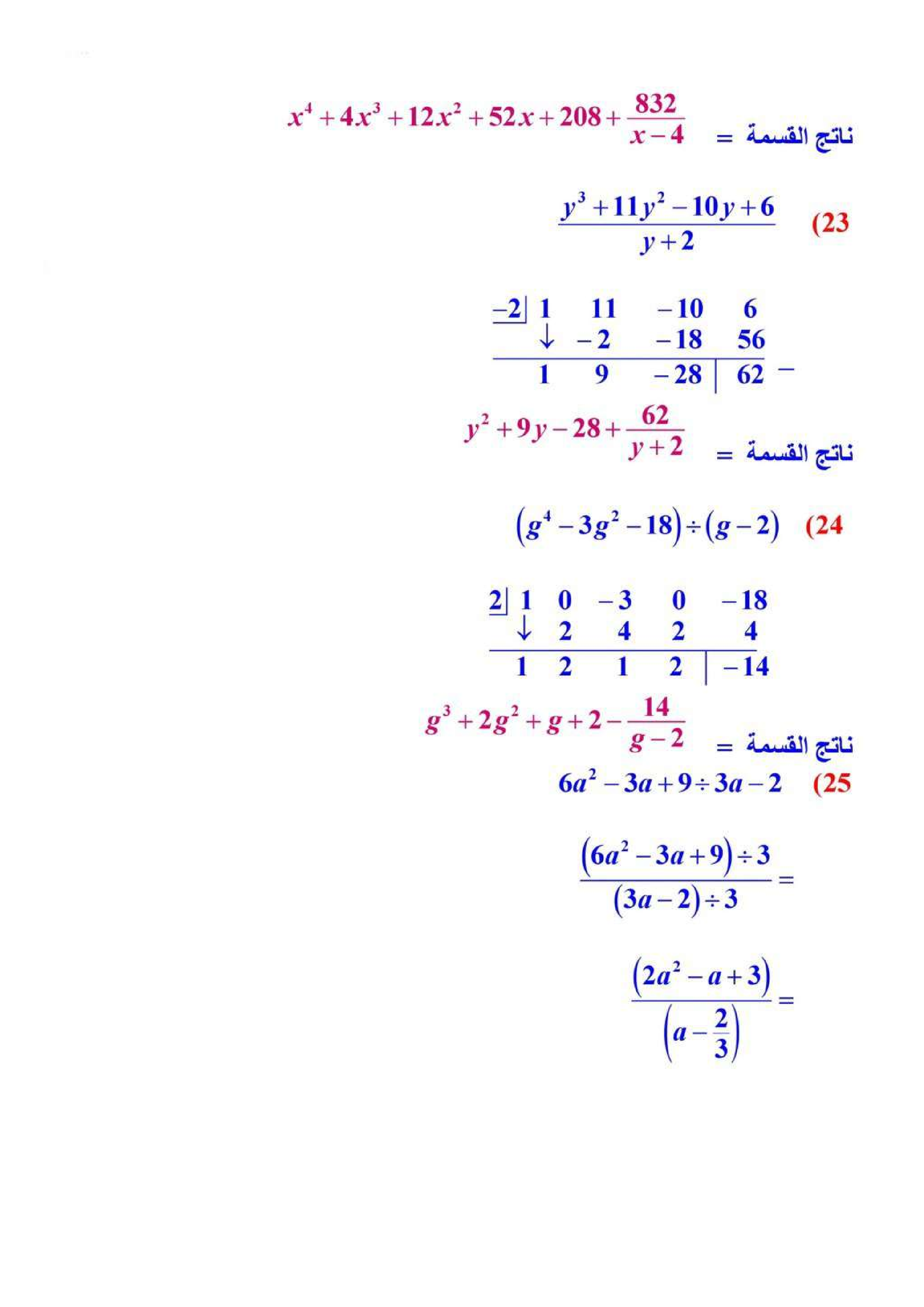
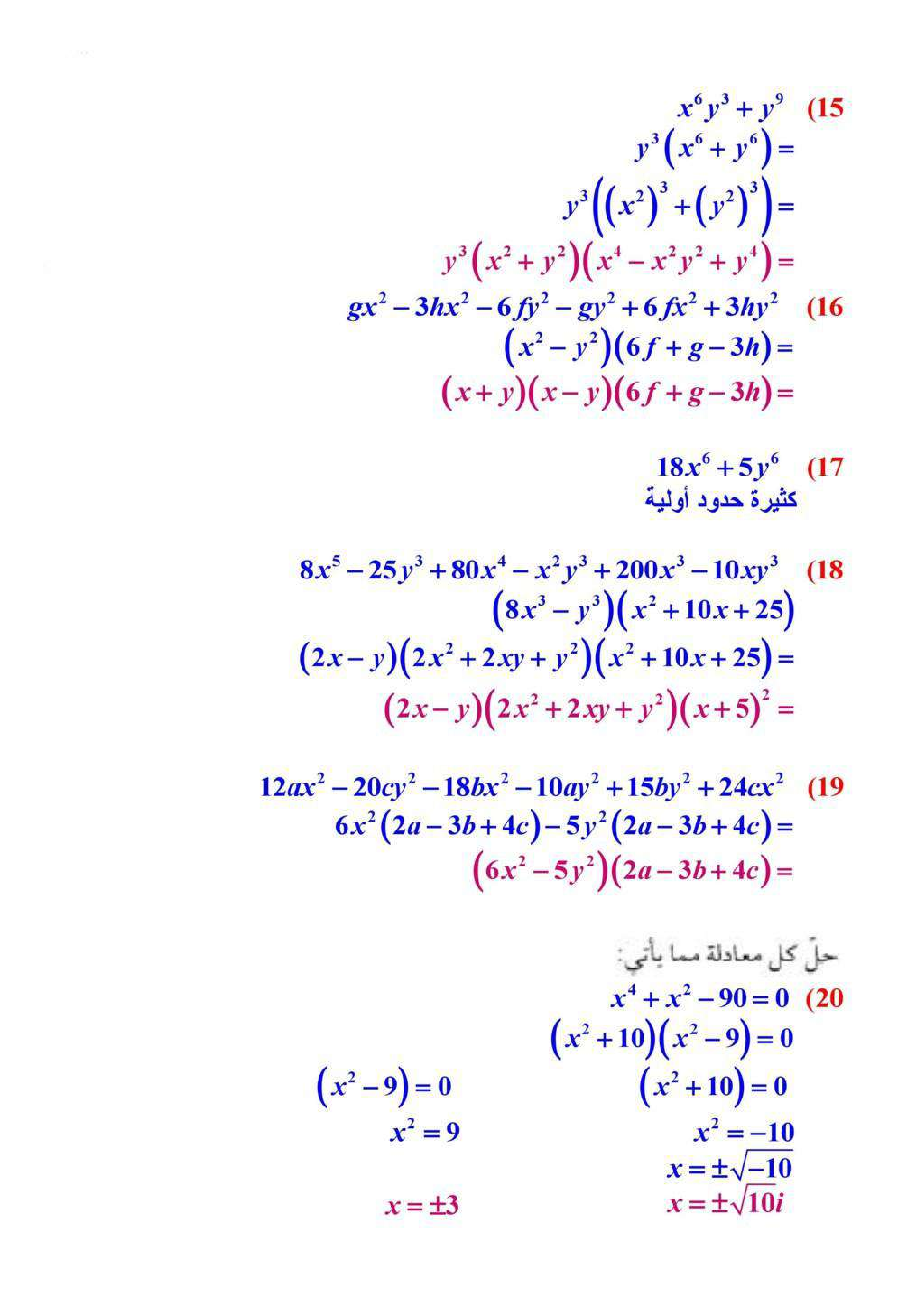
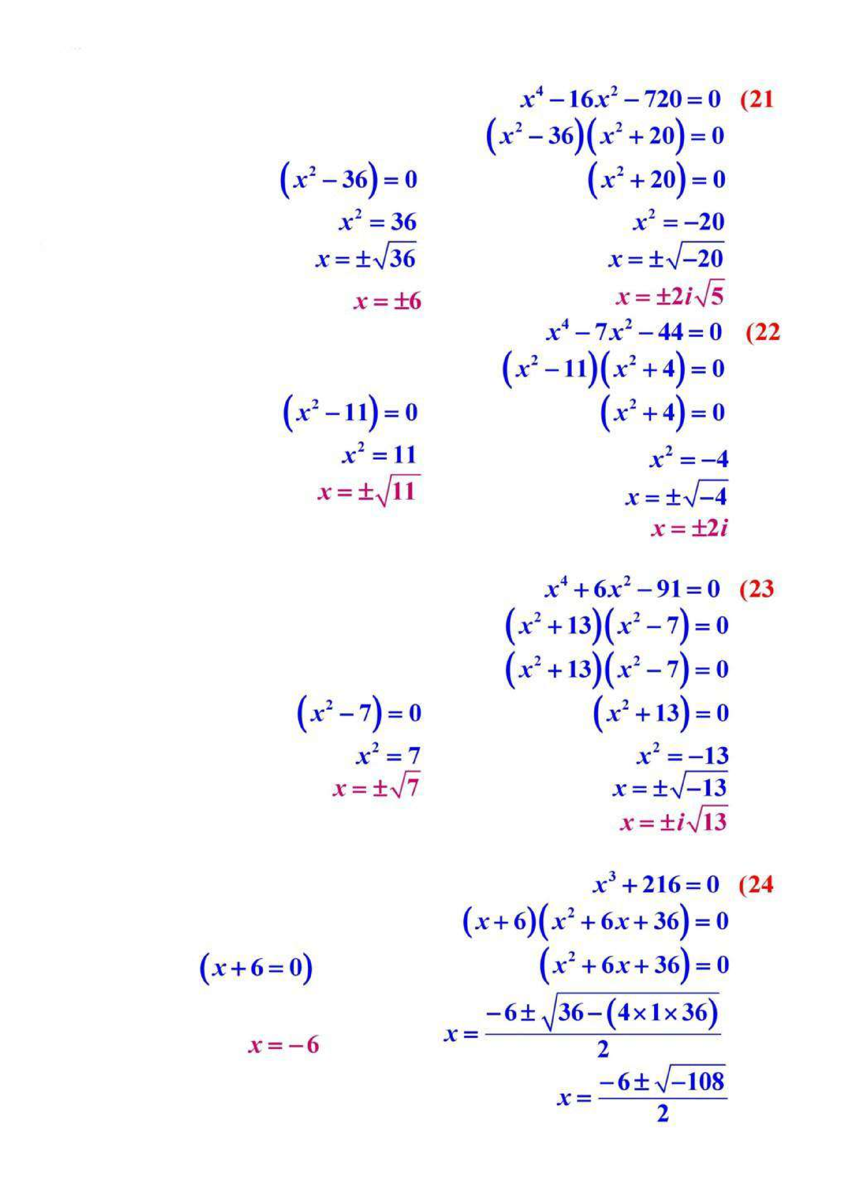
  • الفصل 3: كثيرات الحدود