من 316
  • الفصل 1 - التهيئة
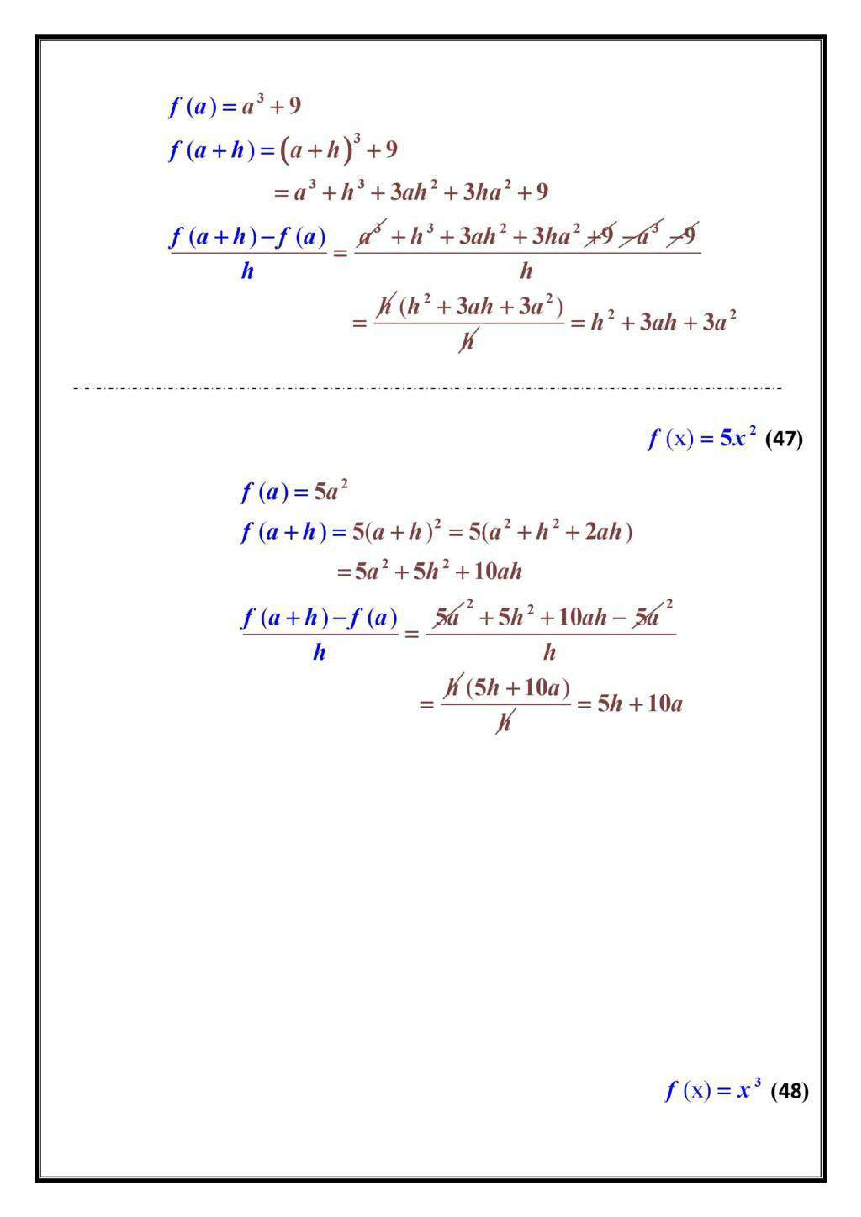
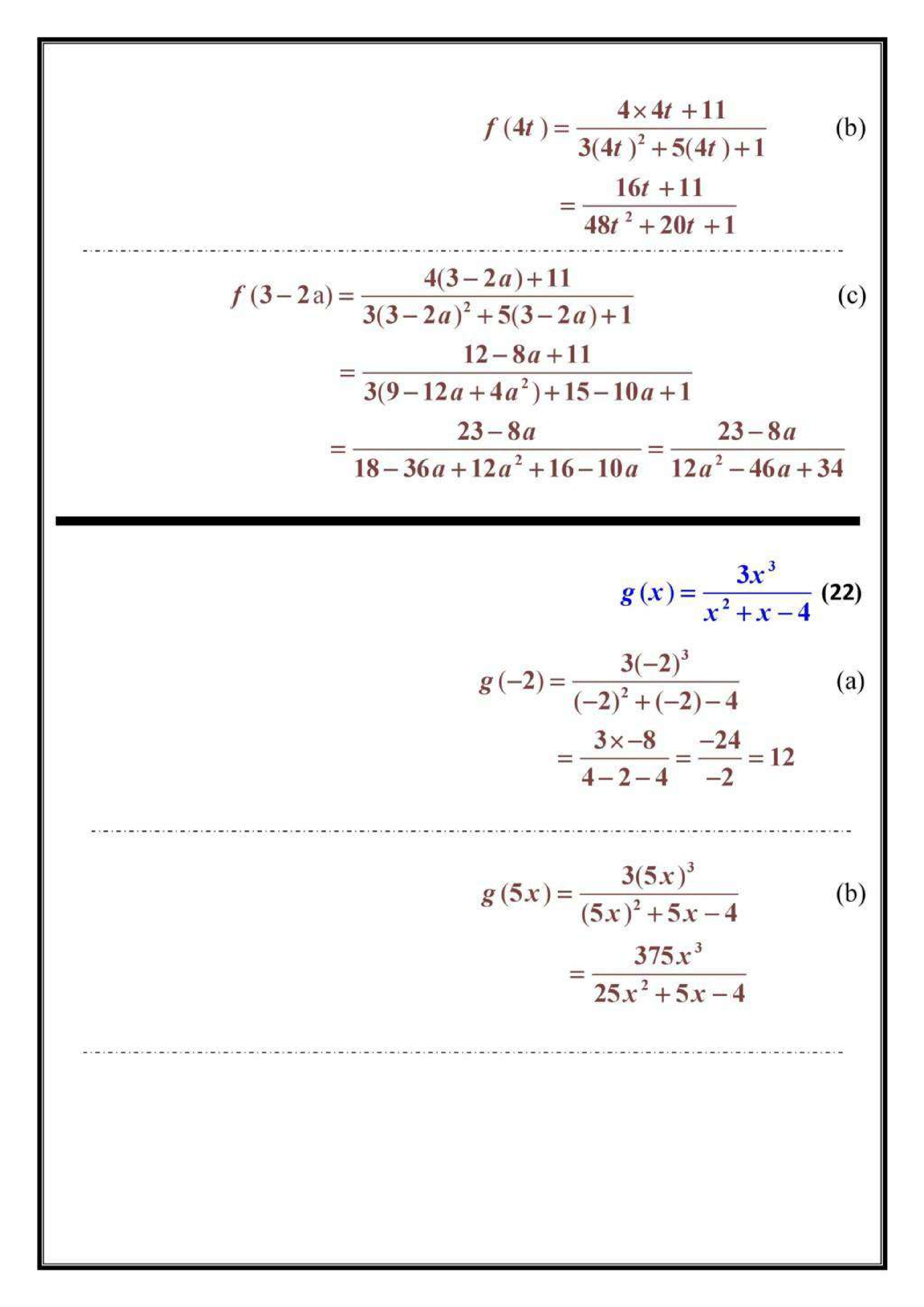
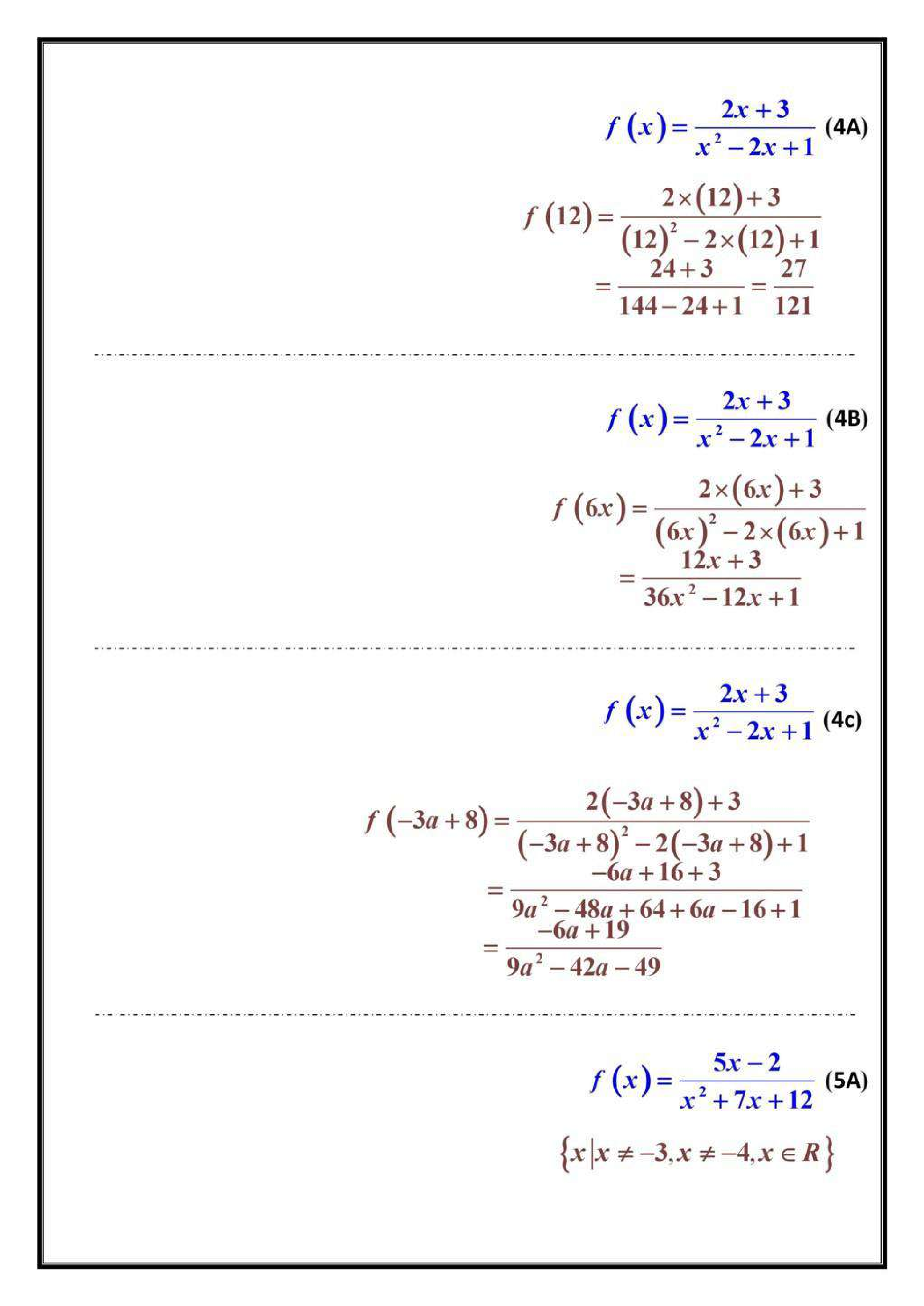
  • الفصل 1 - الدوال
  • الفصل 1 - تحليل التمثيلات البيانية للدوال والعلاقات
  • الفصل 1 - الاتصال والنهايات
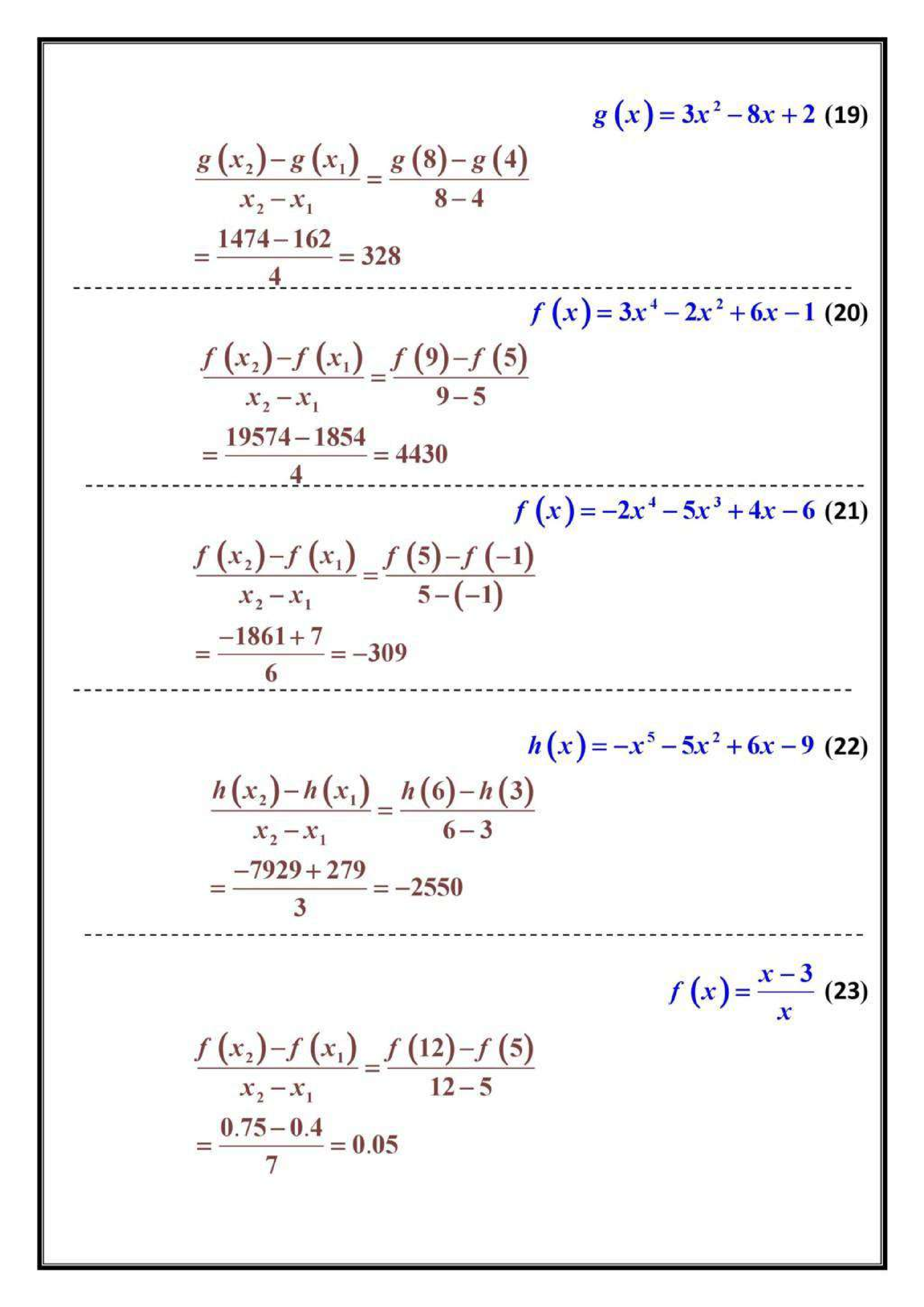
  • الفصل 1 - القيم القصوى ومتوسط معدل التغير
  • الفصل 1 - اختبار منتصف الفصل
  • الفصل 1 - الدوال الرئيسة (الأم) والتحويلات الهندسية
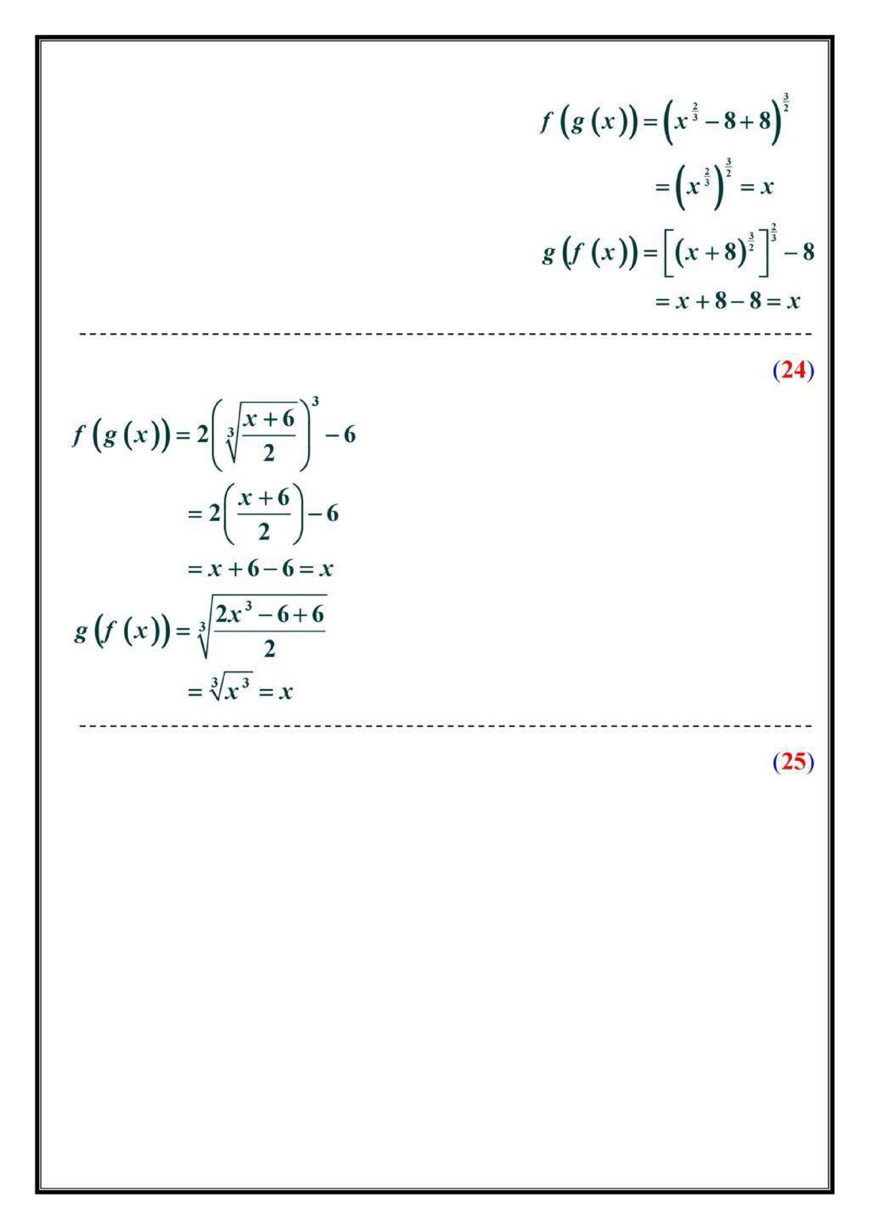
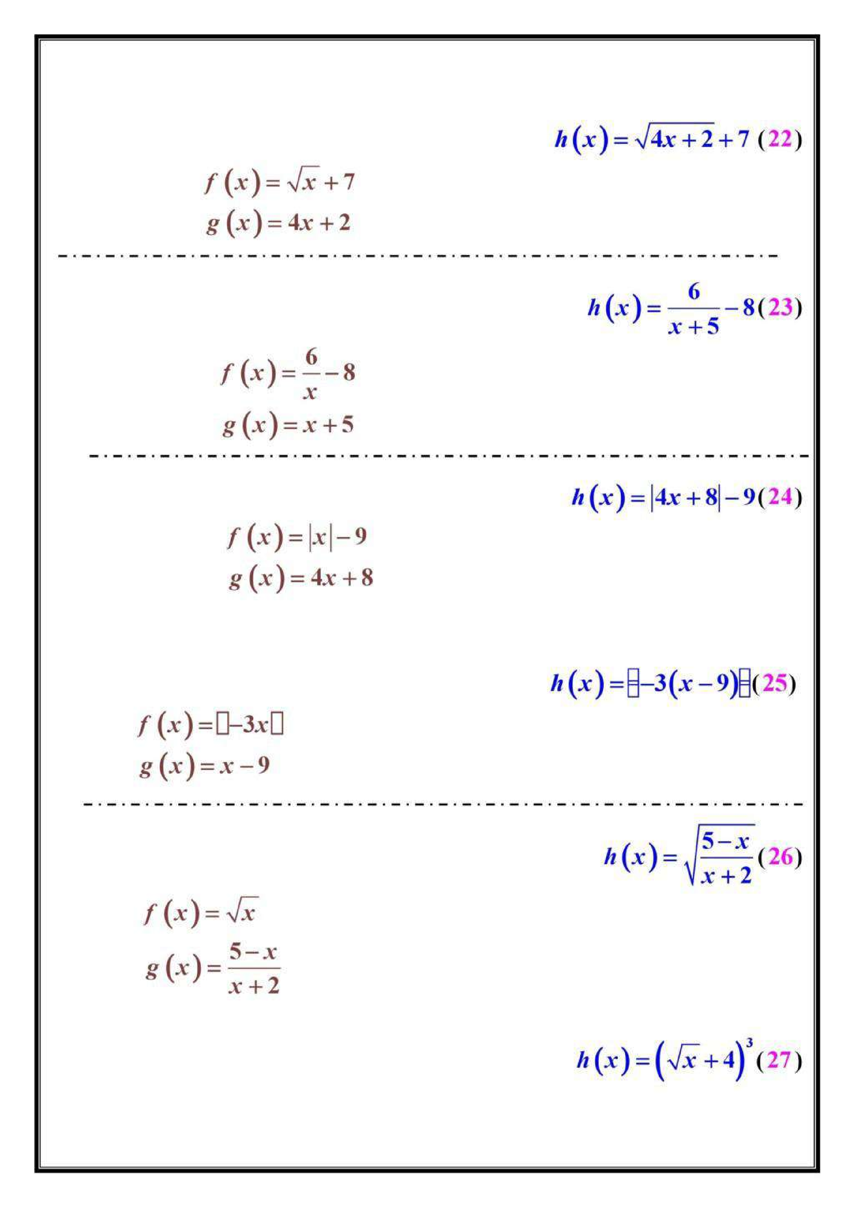
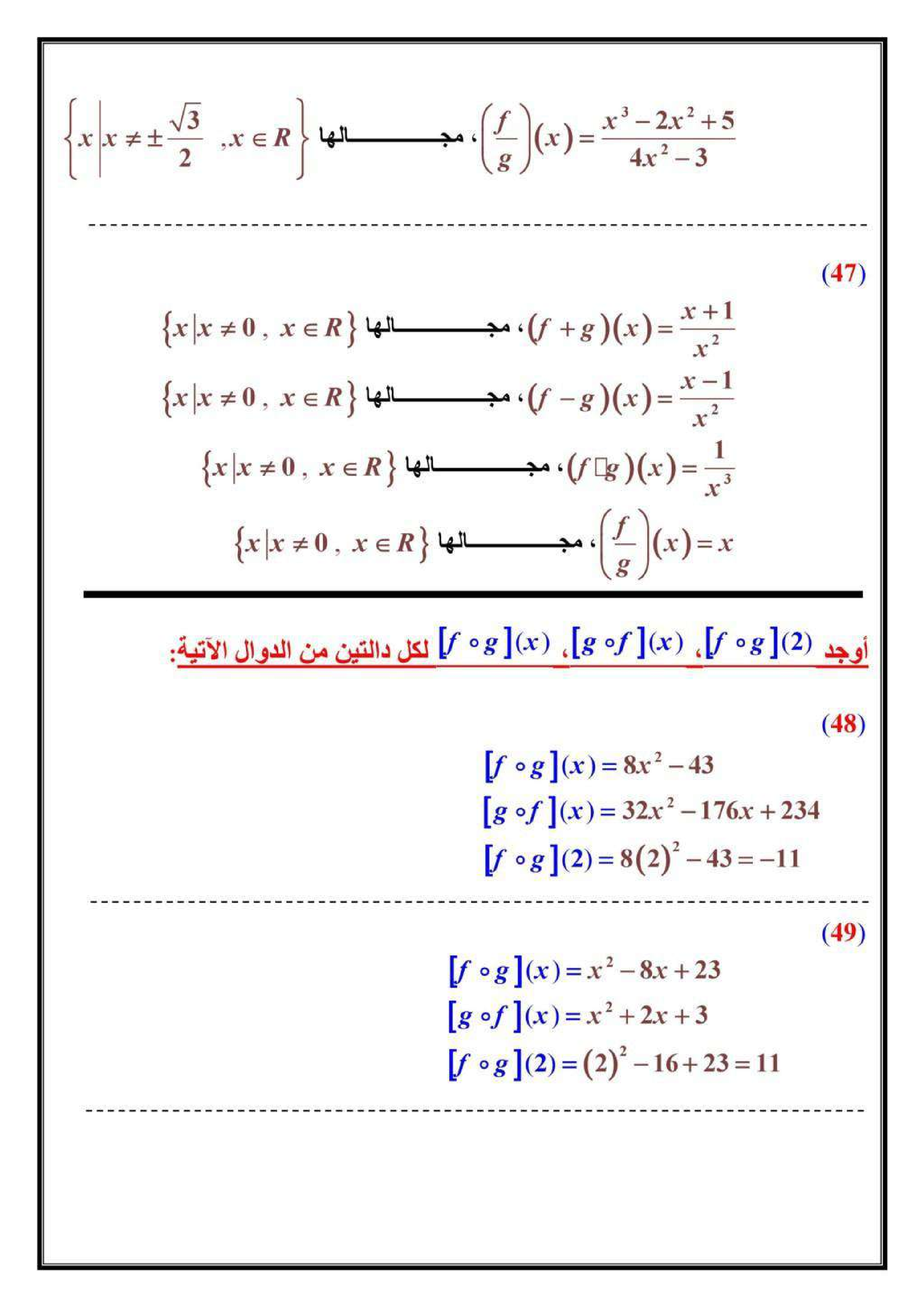
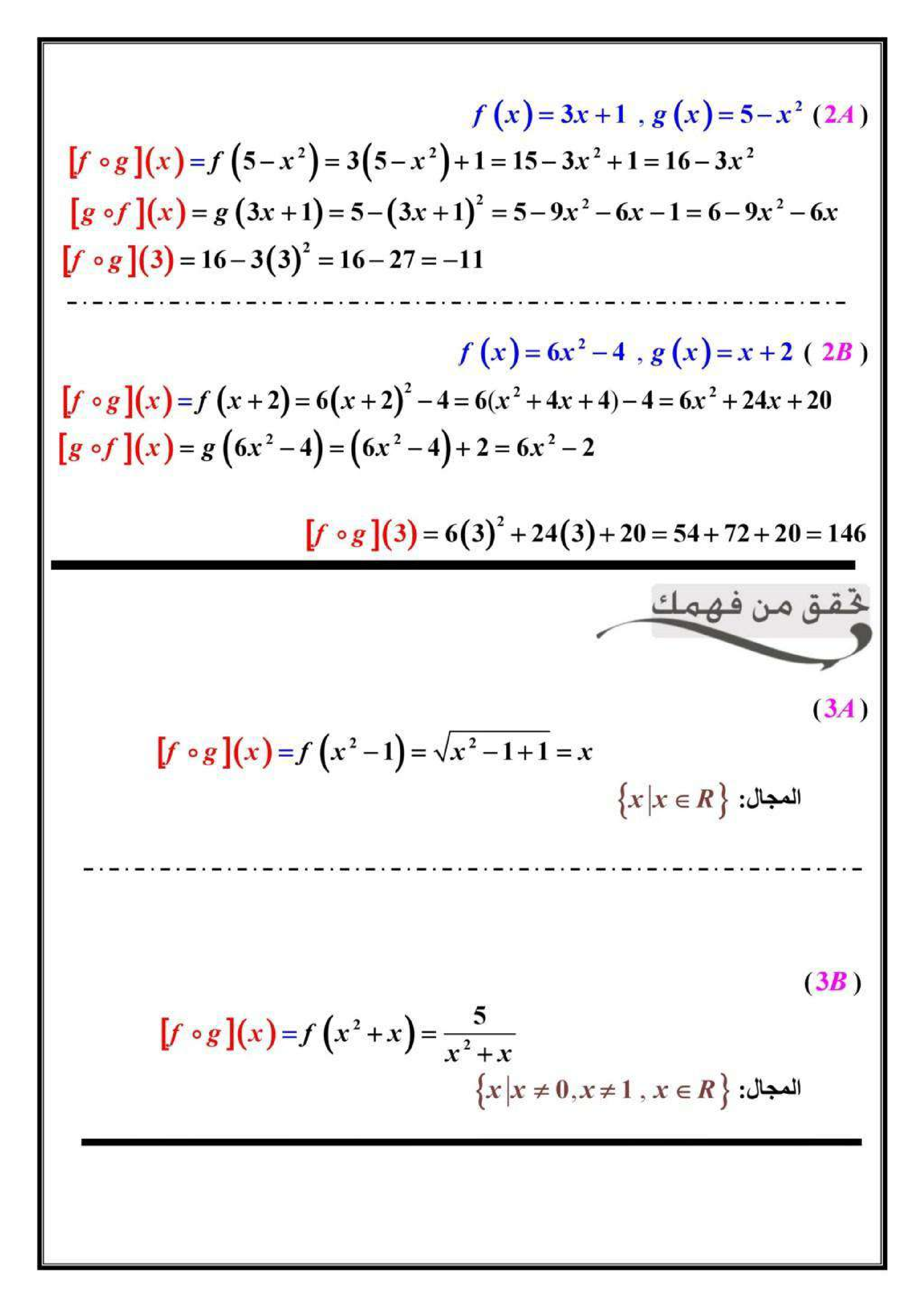
  • الفصل 1 - العمليات على الدوال وتركيب دالتين
  • الفصل 1 - العلاقات والدوال العكسية
  • الفصل 1 - دليل الدراسة والمراجعة
  • الفصل 1 - اختبار الفصل
  • الفصل 2 - التهيئة
  • الفصل 2 - الدوال الأسية
  • الفصل 2 - حل المعادلات والمتباينات الأسية
  • الفصل 2 - حل المعادلات والمتباينات اللوغاريتيمة
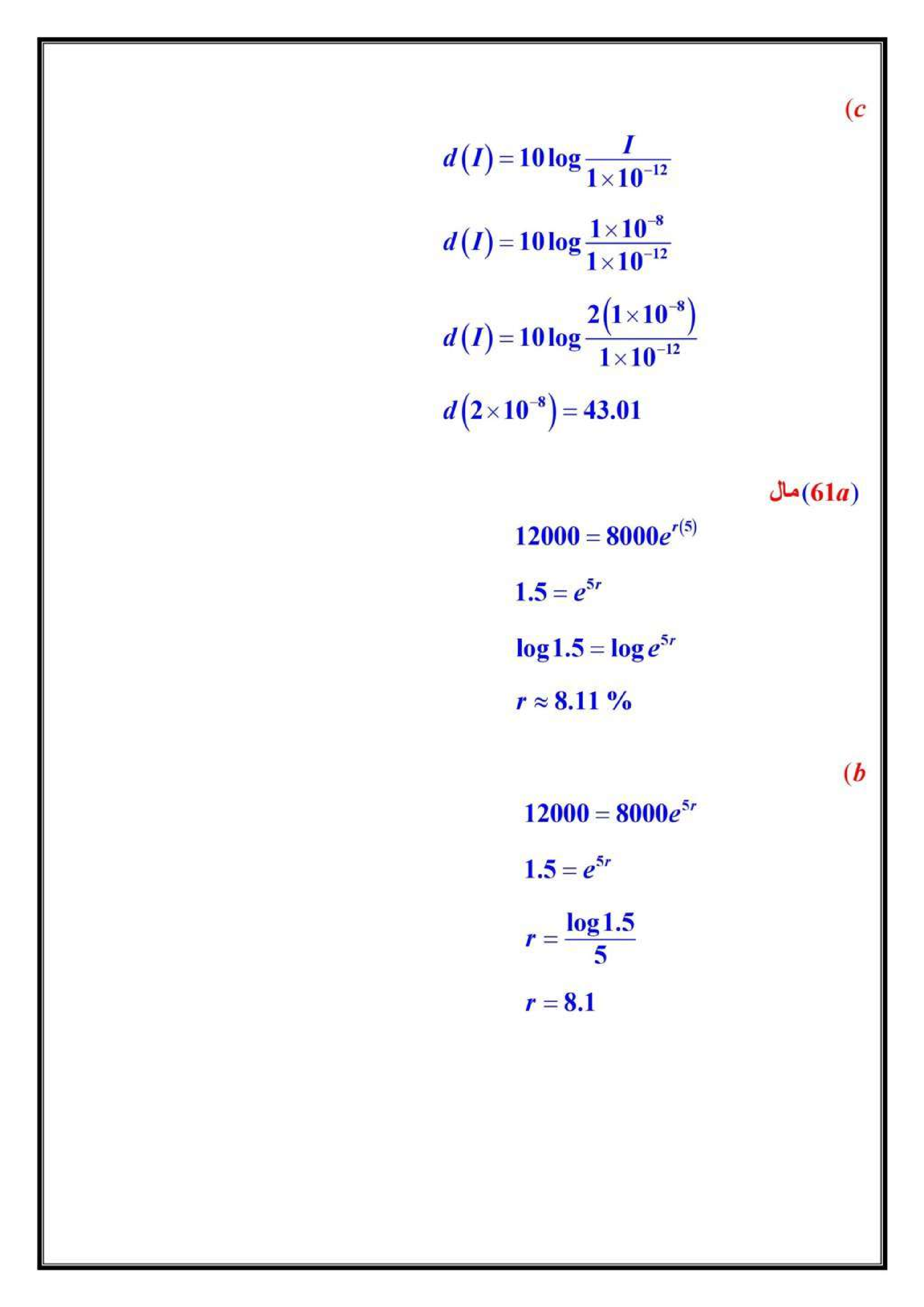
  • الفصل 2 - اللوغاريتمات العشرية
  • الفصل 2 - اختبار الفصل