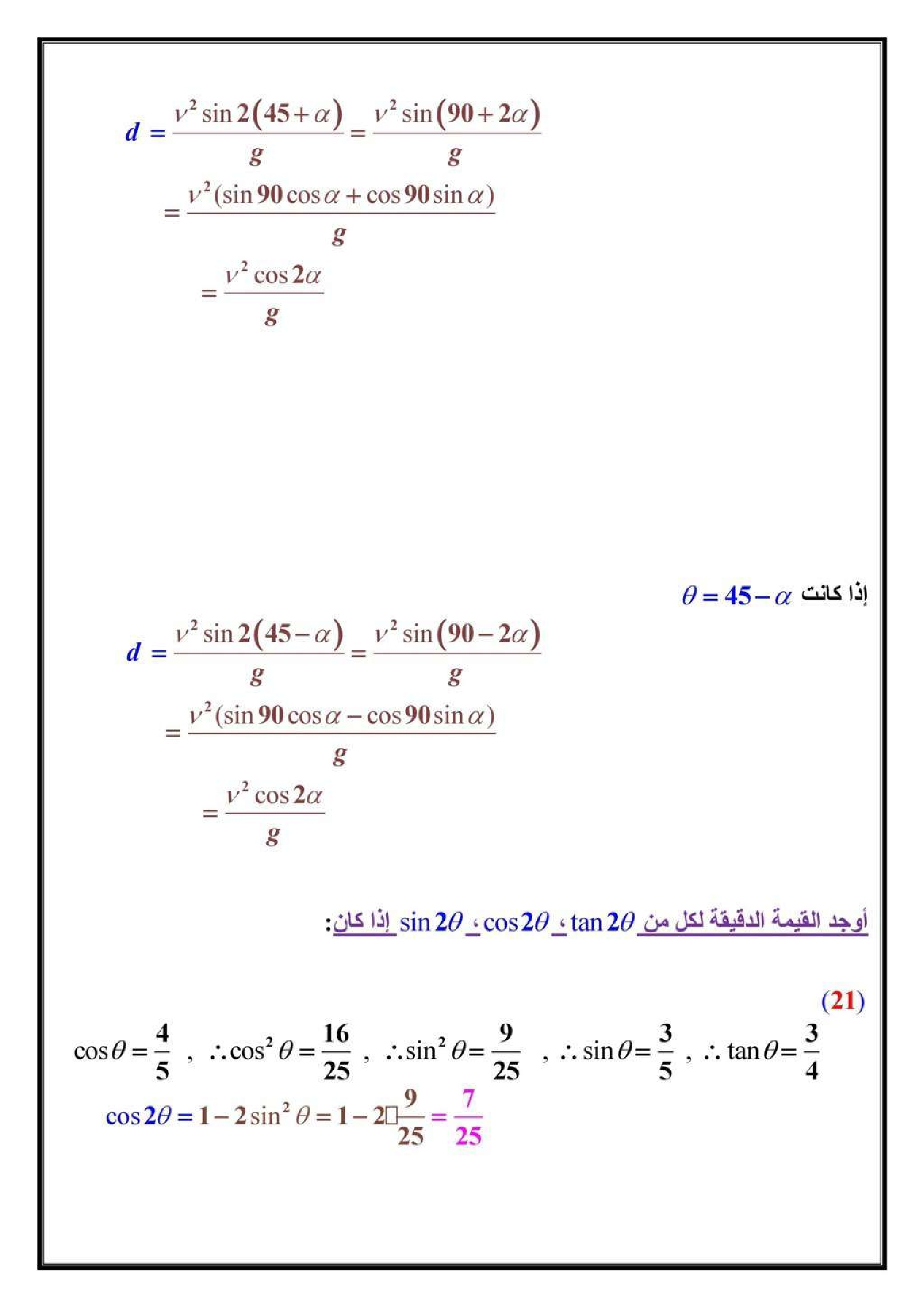
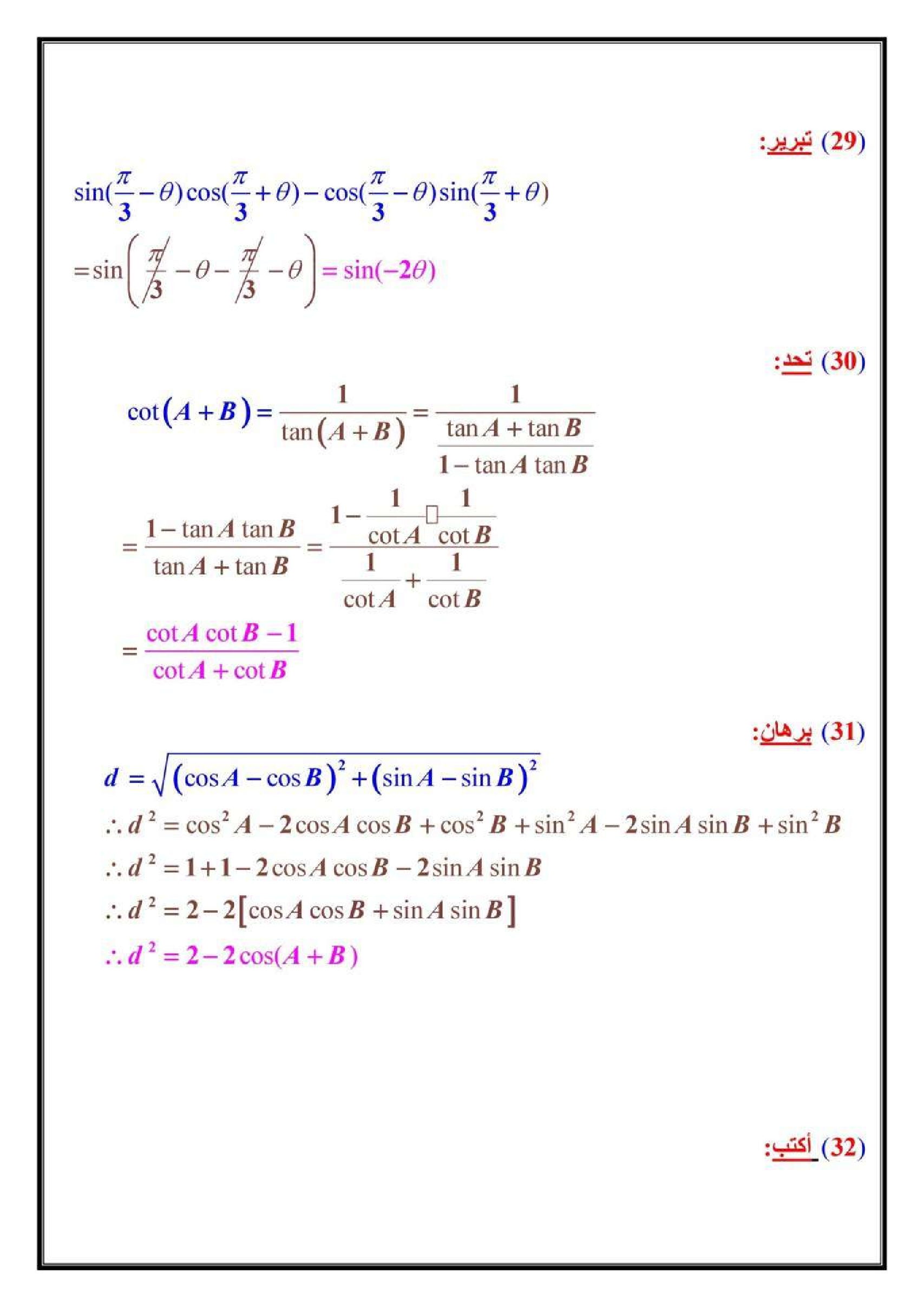
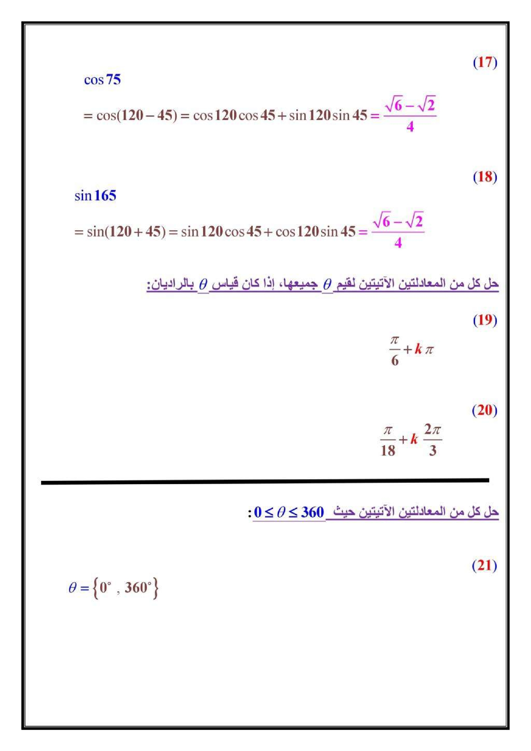
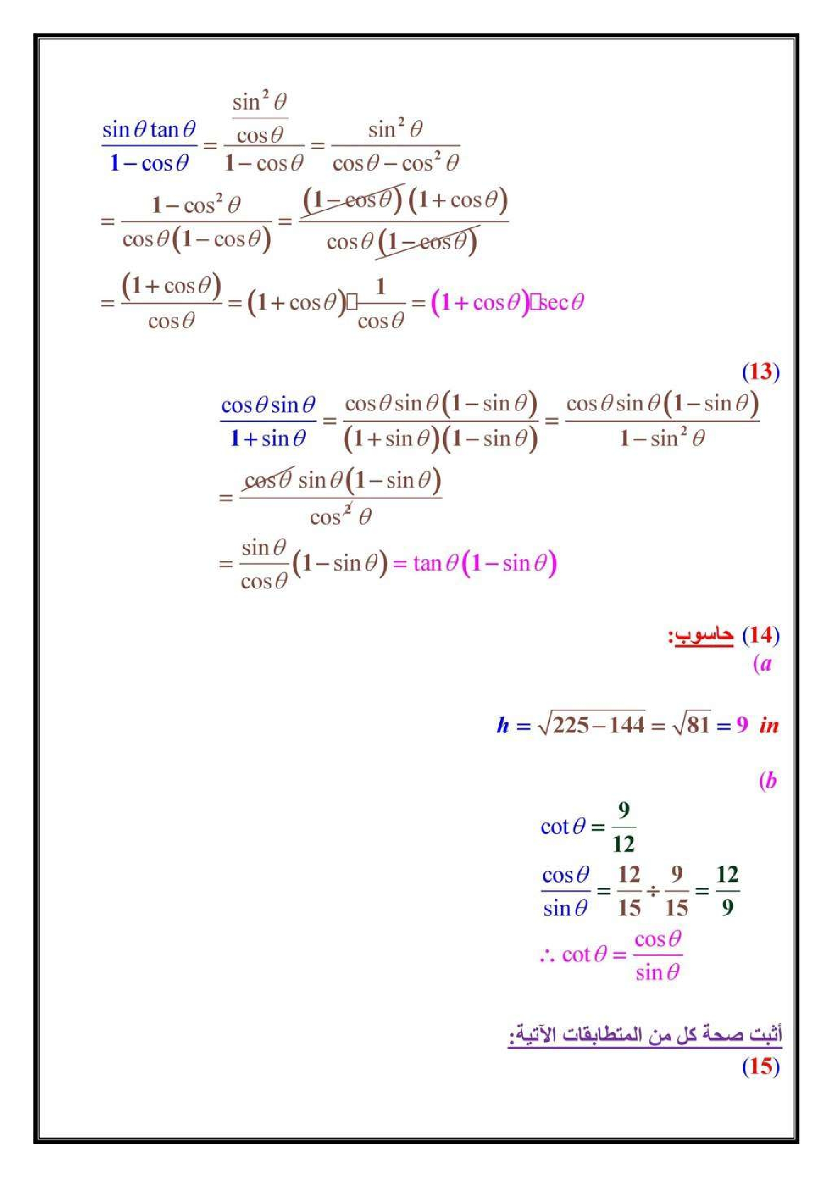
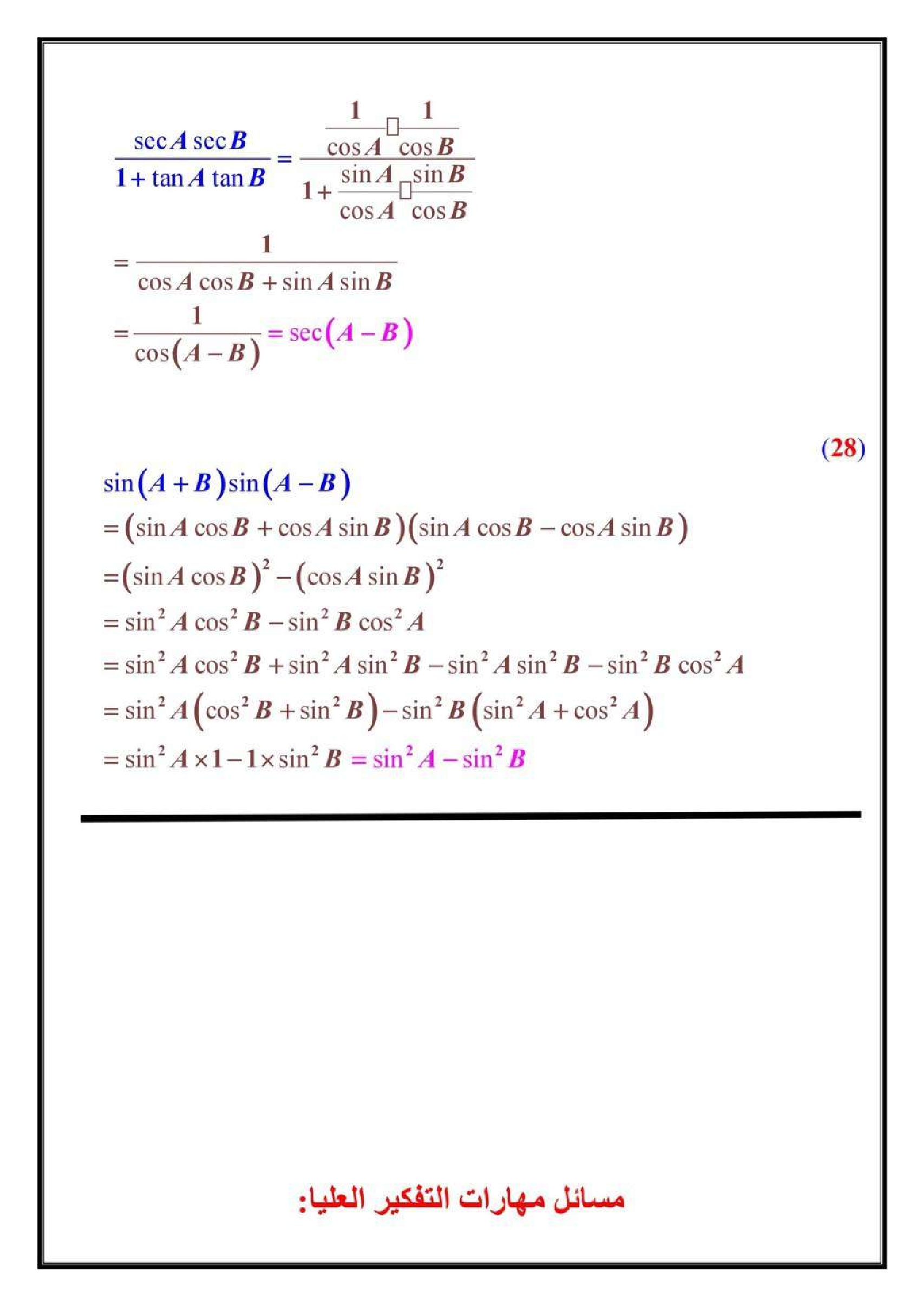
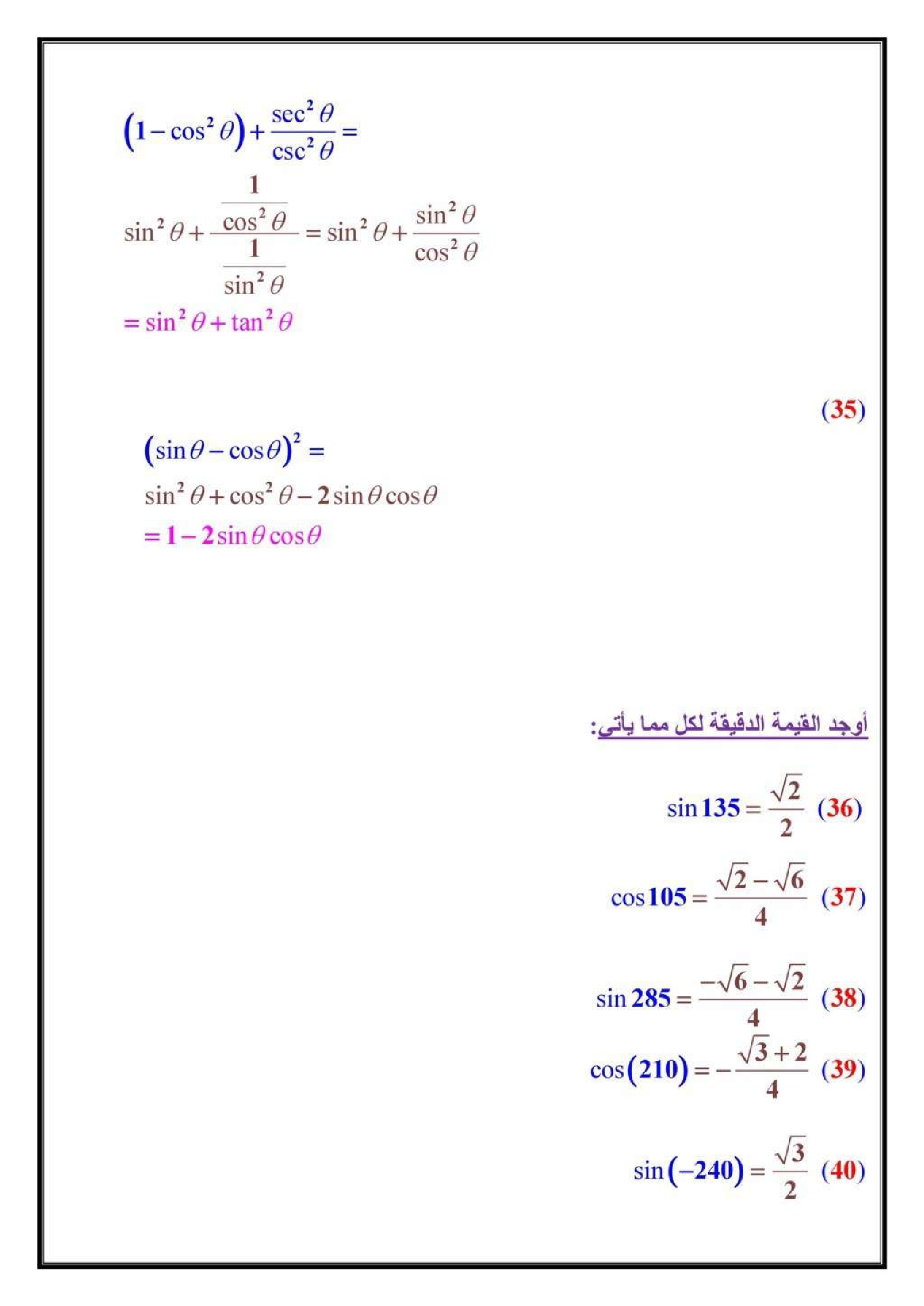
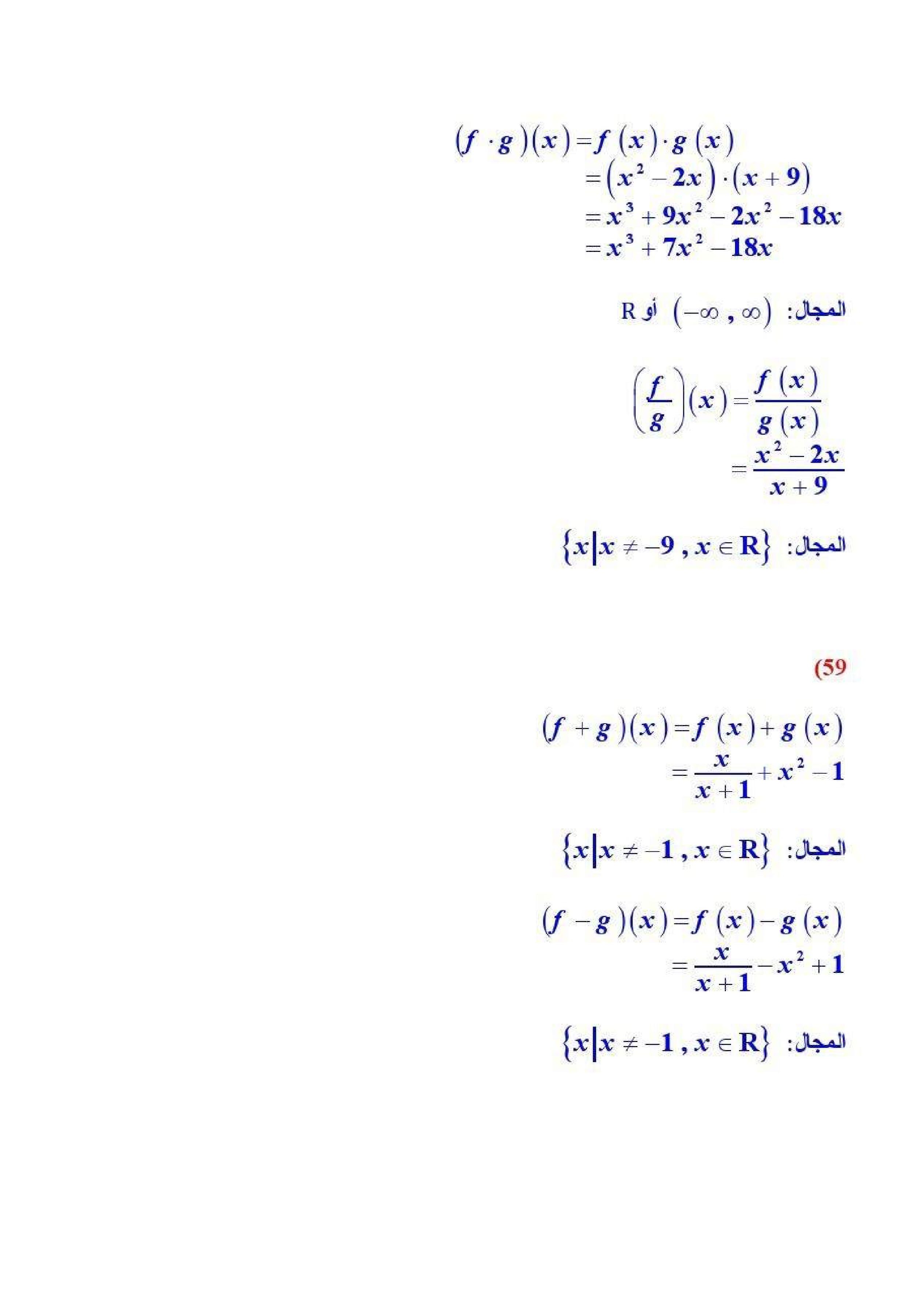
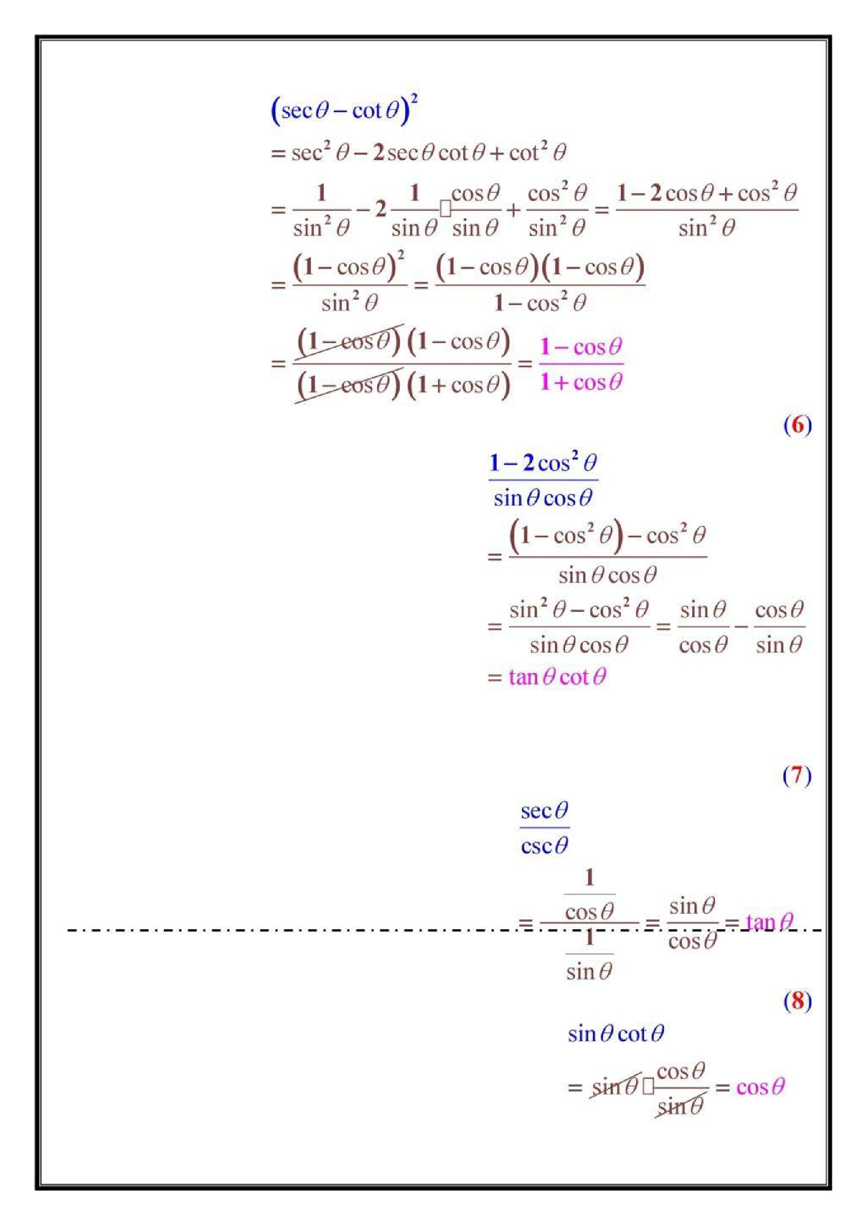
من 355