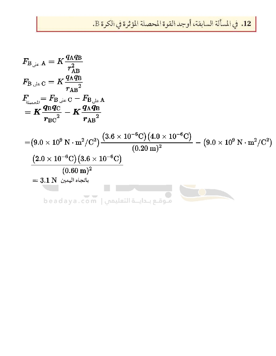
من 323