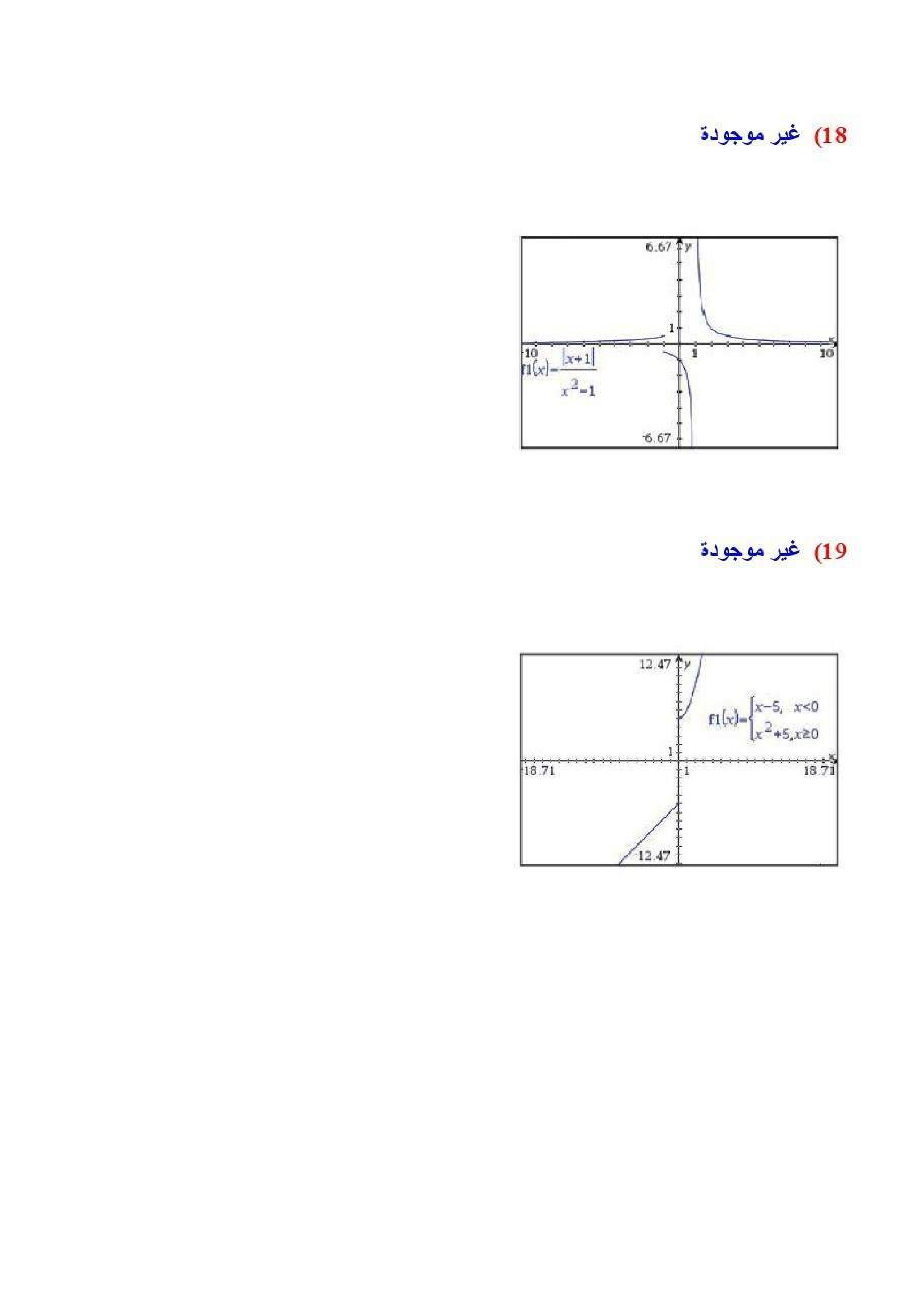
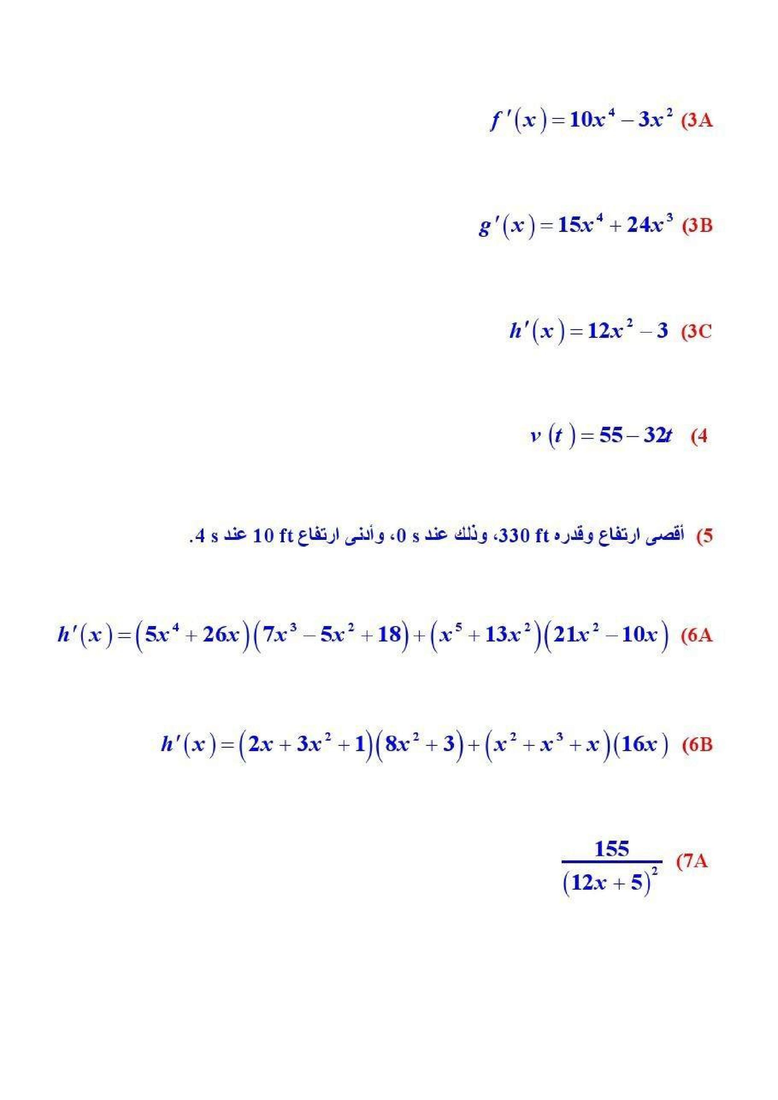
من 267