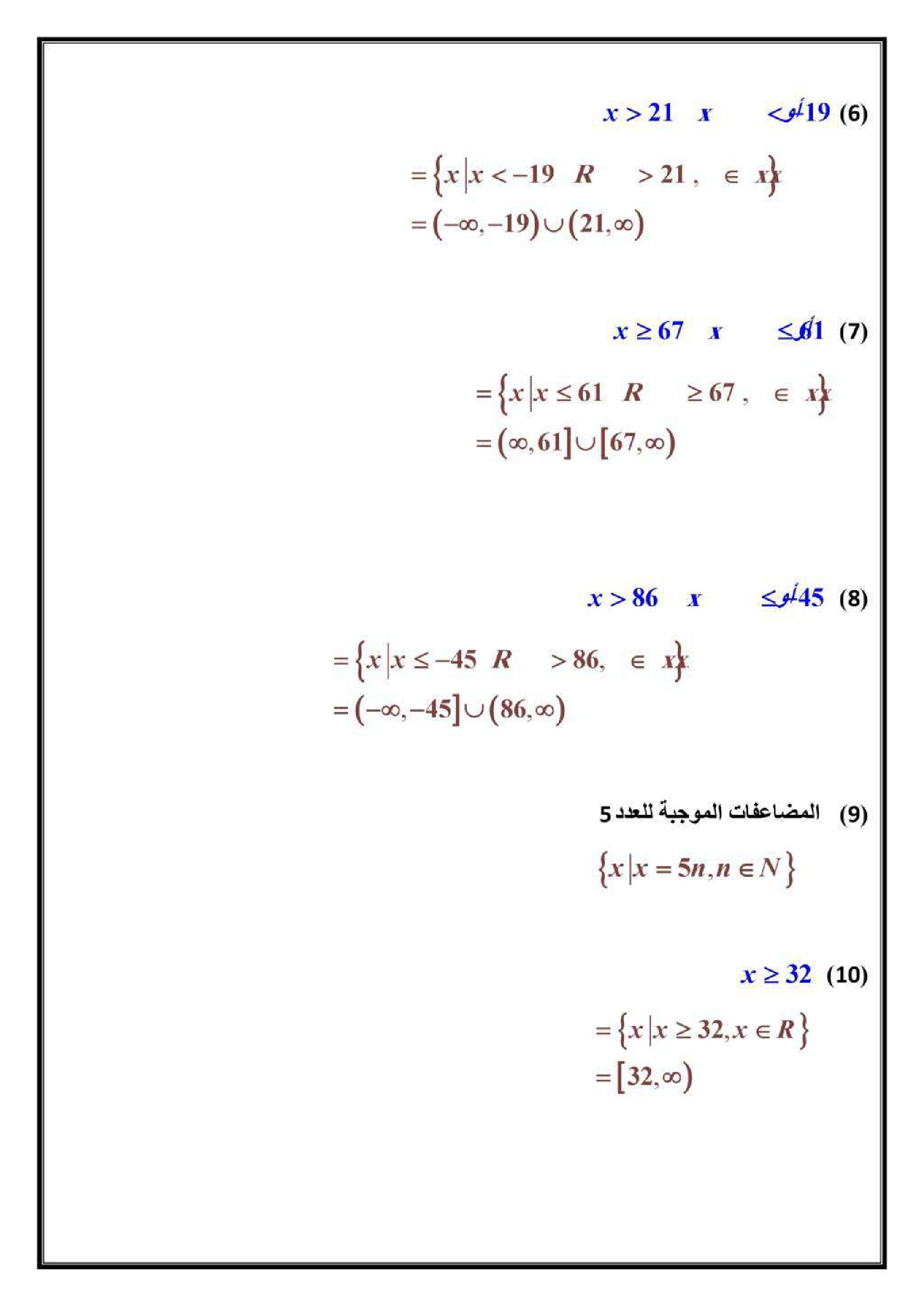
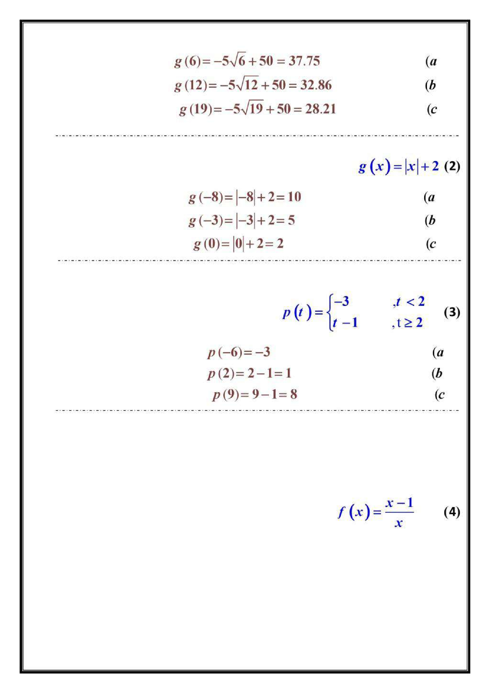
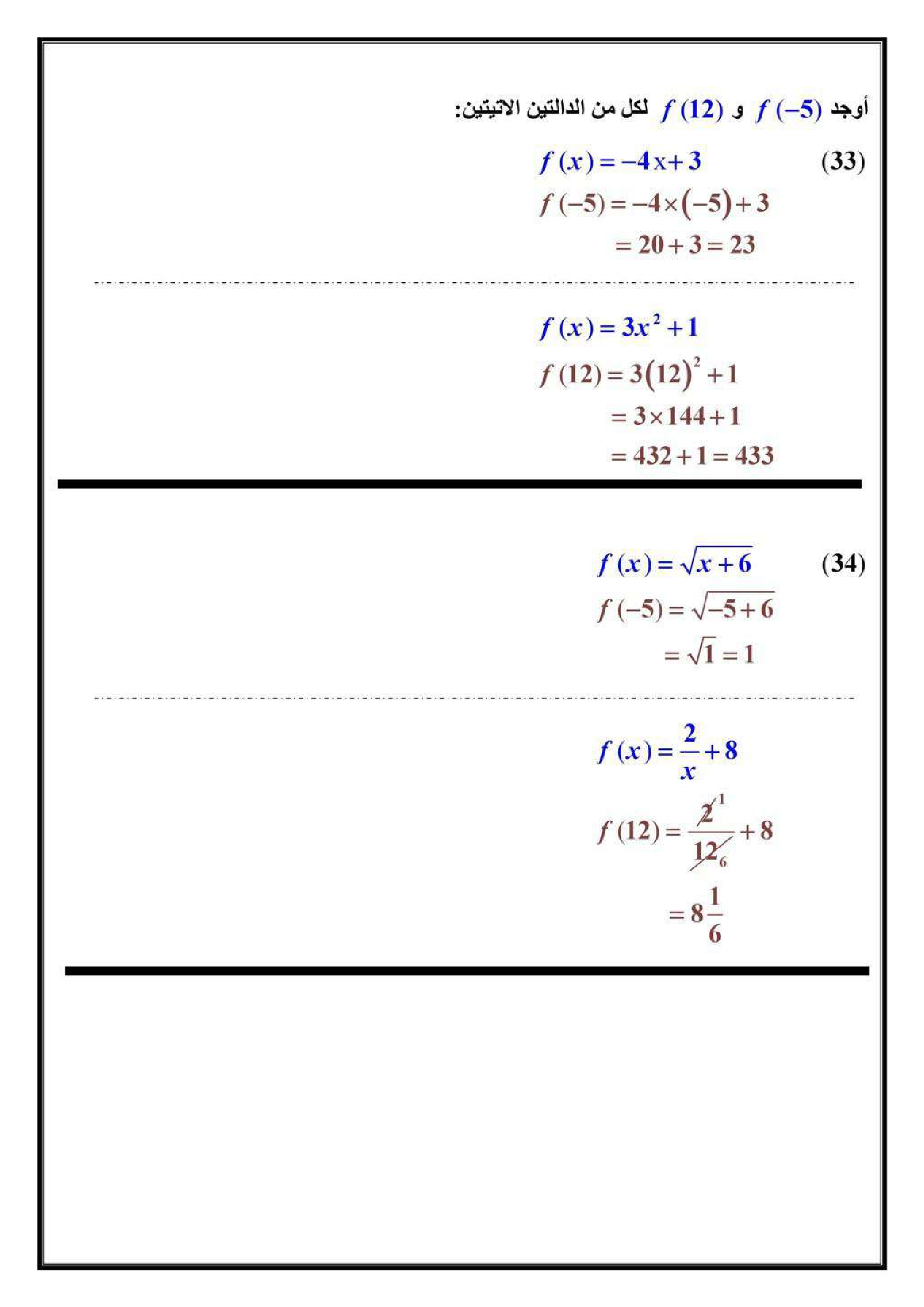
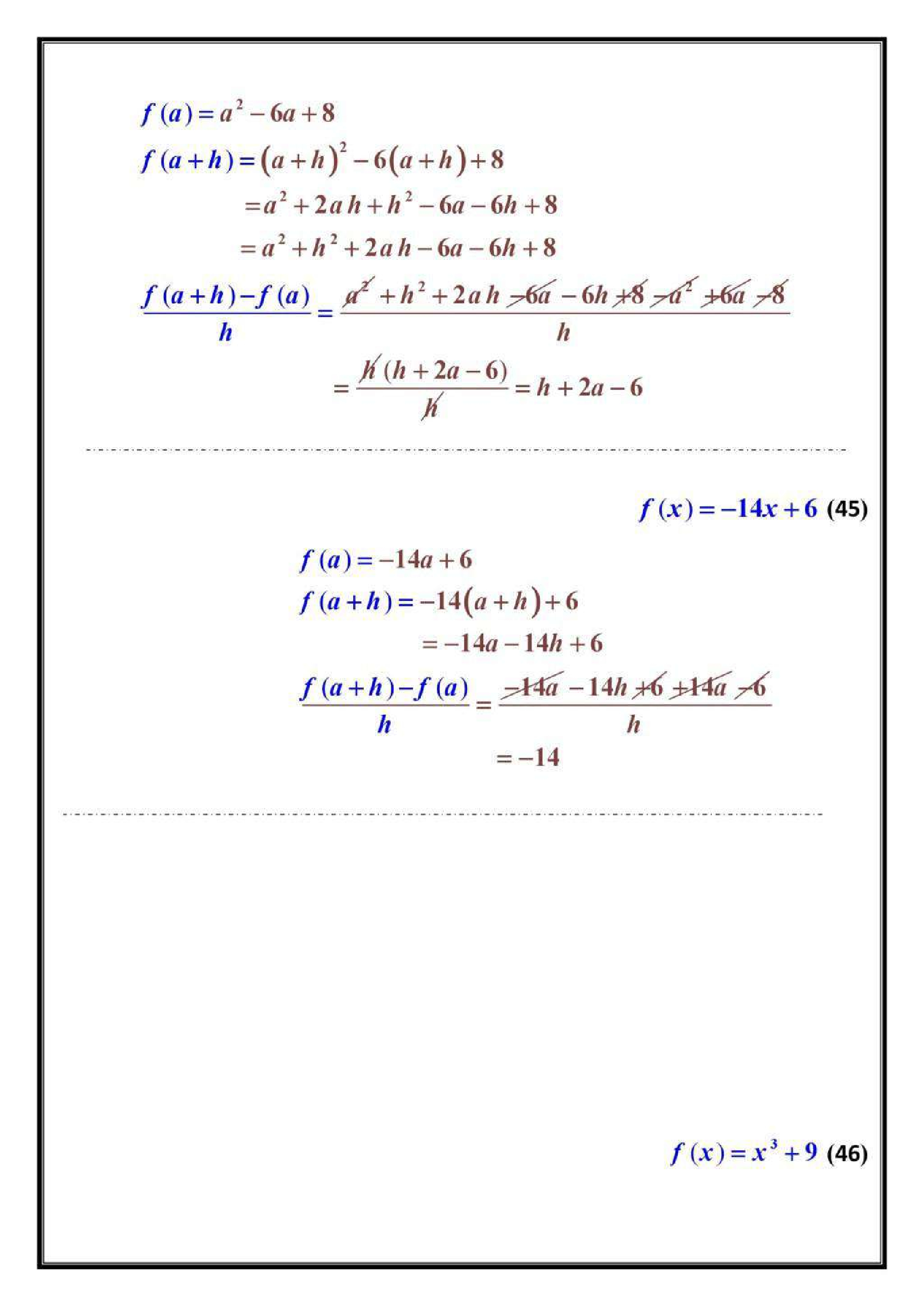
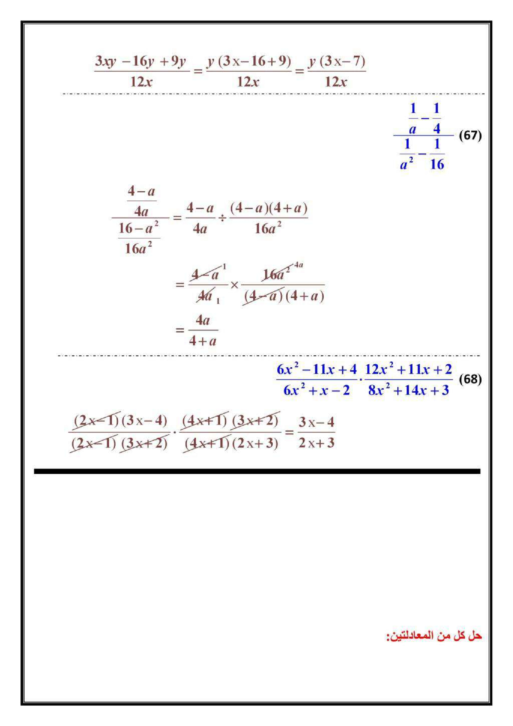
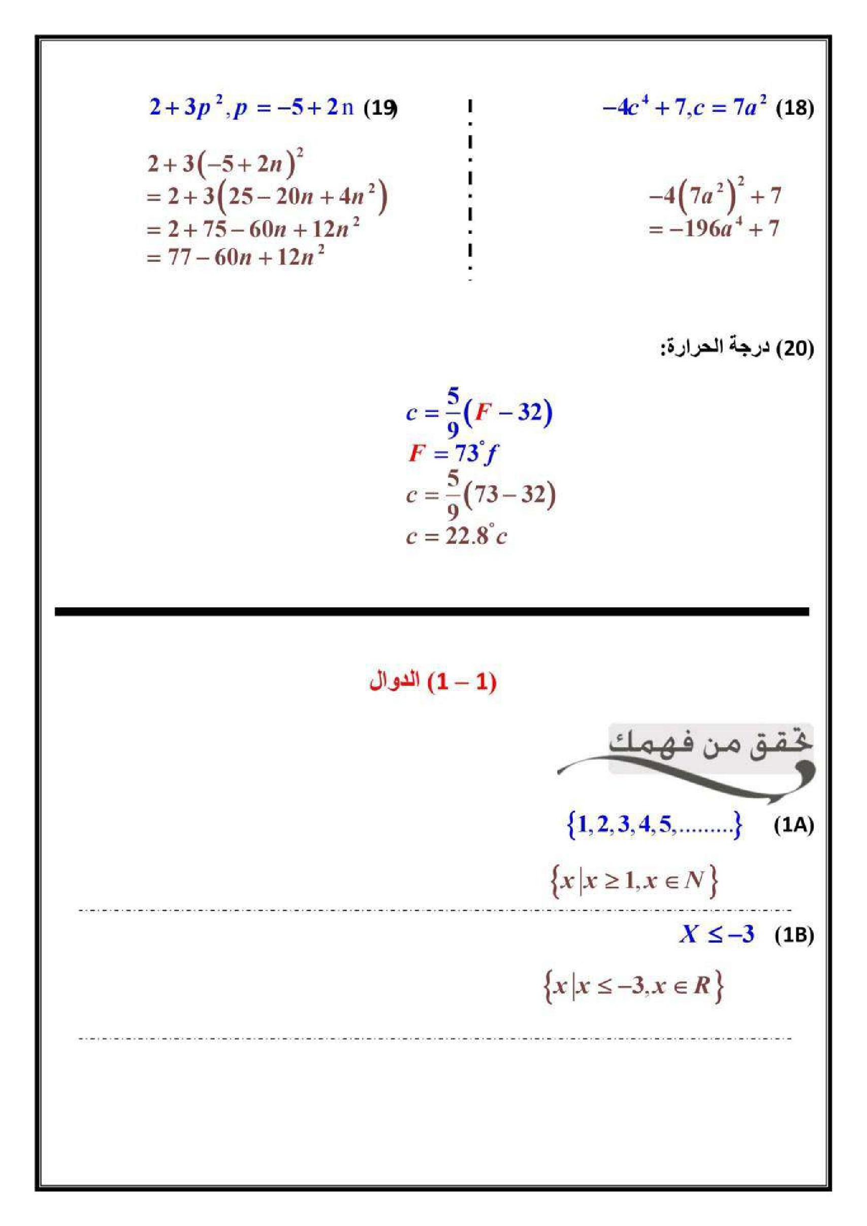
من 53